Skul.pl
  • Opracowania zadań z podręczników
  • Matematyka. Klasa 7. Zeszyt ćwiczeń - rozwiązania i odpowiedzi
  • Zadanie 8.

Matematyka. Klasa 7. Zeszyt ćwiczeń - rozwiązania i odpowiedzi

Zeszyt ćwiczeń, Wydawnictwo: WSiP
Poprzednie

Zadanie 8. - strona 70

Następne

Zadanie

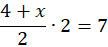
Punkty A, B i C, stanowią trzy wierzchołki trapezu ABCD, oblicz i zaznacz na rysku punkt D, jeśli pole tego trapezu wynosi 7, a punktami podstaw są punktu AB i CD.

Rozwiązanie

zoom

x = 3

Skul

Wyjaśnienie

W zadaniu musisz ułożyć równanie: a następnie je rozwiązać:

Poprzednie
Następne

Matematyka - wybrane pytania

Zadanie 7, strona 224, Matematyka z plusem. Klasa 2. Podręcznik. Zakres rozszerzony – rozwiązania i odpowiedzi
Zadanie 2., strona 42, Matematyka z plusem. Klasa 4. Zeszyt ćwiczeń. Wersja C – rozwiązania i odpowiedzi
Ćwiczenie 7., strona 21, Matematyka z plusem. Klasa 6. Podręcznik - rozwiązania i odpowiedzi
Zadanie 7.17., strona 197, Matematyka. Klasa 3. Zbiór zadań. Zakres rozszerzony – rozwiązania i odpowiedzi
Zadanie 9, strona 82, Matematyka z plusem. Klasa 6. Zeszyt ćwiczeń. Wersja C – rozwiązania i odpowiedzi
Ćwiczenie 2, strona 60, Matematyka z Plusem. Geometria. Klasa 4. Zeszyt ćwiczeń. Wersja A. Część 2/3 - rozwiązania i odpowiedzi
Zadanie 36, strona 203, Matematyka z plusem. Klasa 7. Podręcznik – rozwiązania i odpowiedzi
Zadanie 2., strona 50, Matematyka. Klasa 7. Zeszyt ćwiczeń - rozwiązania i odpowiedzi
Ćwiczenie 7., strona 183, Matematyka wokół nas. Klasa 5. Podręcznik - rozwiązania i odpowiedzi
Zadanie 3, strona 107, Teraz matura. Klasa 4. Zbiór zadań. Poziom podstawowy – rozwiązania i odpowiedzi
REKLAMA
Skul
Zadania z tego działu
6. Wielokąty
67
6.1. Kąty w wielokątach
67

Zadanie 1.

67

Zadanie 2.

67

Zadanie 3.

67

Zadanie 4.

67

Zadanie 5.

68

Podpunkt a)

68

Podpunkt b)

68

Podpunkt c)

68

Podpunkt d)

68

Zadanie 6.

68

Podpunkt a)

68

Podpunkt b)

68

Zadanie 7.

68
6.2. Pola wielokątów
69

Zadanie 1.

69

Zadanie 2.

69

Zadanie 3.

69

Podpunkt a)

69

Podpunkt b)

69

Zadanie 4.

69

Podpunkt a)

69

Podpunkt b)

69

Podpunkt c)

69

Podpunkt d)

69

Zadanie 5.

70

Zadanie 6.

70

Zadanie 7.

70

Podpunkt a)

70

Podpunkt b)

70

Zadanie 8.

70

Zadanie 9.

71

Zadanie 10.

71

Podpunkt a)

71

Podpunkt b)

71

Zadanie 11.

71

Zadanie 12.

72

Zadanie 13.

72

Zadanie 14.

72
6.3. Figury w układzie współrzędnych
73

Zadanie 1.

73

Zadanie 2.

73

Zadanie 3.

73

Podpunkt a)

73

Podpunkt b)

73

Podpunkt c)

73

Zadanie 4.

74

Podpunkt a)

74

Podpunkt b)

74

Zadanie 5.

74

Podpunkt a)

74

Podpunkt b)

74

Zadanie 6.

74

Zadanie 7.

75

Zadanie 8.

75

Zadanie 9.

75

Podpunkt a)

75

Podpunkt b)

75

Zadanie 10.

76

Podpunkt a)

76

Podpunkt b)

76

Zadanie 11.

76

Zadanie 12.

76
Pełny spis treści
Skul
Artboard 1
Skul.pl
  • Napisz do nas
  • FAQ
  • Mapa Serwisu
  • Google Play
  • App Store

Korzystanie z portalu oznacza akceptację Regulaminu.
Polityka prywatności. Ustawienia preferencji. Copyright: INTERIA.PL 1999-2023 Wszystkie prawa zastrzeżone.