Skul.pl
  • Opracowania zadań z podręczników
  • Matematyka. Klasa 7. Zeszyt ćwiczeń - rozwiązania i odpowiedzi
  • Zadanie 12.

Matematyka. Klasa 7. Zeszyt ćwiczeń - rozwiązania i odpowiedzi

Zeszyt ćwiczeń, Wydawnictwo: WSiP
Poprzednie

Zadanie 12. - strona 72

Następne

Zadanie

Rysunek przedstawia kwadrat, na odcinku BC wyznacz punkt E, aby stosunek pola trójkąta ABE do pola trapezu DAEC był równy 1:2.

Rozwiązanie

Punkt na wysokości 2cm od podstawy.

Skul

Wyjaśnienie

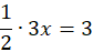
W pierwszym kroku policz pole całego kwadratu , następnie podziel pole w stosunku 1 : 2, czyli 3cm:6cm. Podstaw do wzoru na pole trójkąta odpowiadające mu pole: .

Poprzednie
Następne

Matematyka - wybrane pytania

Ćwiczenie A, strona 24, Matematyka z plusem. Klasa 4. Podręcznik - rozwiązania i odpowiedzi
Zadanie 3., strona 98, Matematyka z kluczem. Klasa 5. Zbiór zadań - rozwiązania i odpowiedzi
Zadanie 10, strona 112, Matematyka wokół nas. Klasa 6. Podręcznik – rozwiązania i odpowiedzi
Zadanie 6, strona 164, MATeMAtyka. Klasa 3. Zbiór zadań. Zakres podstawowy i rozszerzony – rozwiązania i odpowiedzi
Ćwiczenie Prędkość, droga, czas, strona 109, Matematyka. Klasa 6. Zeszyt ćwiczeń. Część 2 - rozwiązania i odpowiedzi
Zadanie 34, strona 51, Matematyka. Klasa 4. Zbiór zadań - rozwiązania i odpowiedzi
Zadanie 18., strona 119, Matematyka. Klasa 8. Podręcznik – rozwiązania i odpowiedzi
Zadanie co umiem 3?, strona 59, Matematyka. Klasa 5. Podręcznik - rozwiązania i odpowiedzi
Zadanie S1., strona 158, Matematyka z plusem. Klasa 3. Podręcznik. Zakres rozszerzony – rozwiązania i odpowiedzi
Zadanie Prosto do matury 2., strona 264, Prosto do matury. Matematyka. Klasa 2. Zakres podstawowy. Podręcznik - rozwiązania i odpowiedzi
REKLAMA
Skul
Zadania z tego działu
6. Wielokąty
67
6.1. Kąty w wielokątach
67

Zadanie 1.

67

Zadanie 2.

67

Zadanie 3.

67

Zadanie 4.

67

Zadanie 5.

68

Podpunkt a)

68

Podpunkt b)

68

Podpunkt c)

68

Podpunkt d)

68

Zadanie 6.

68

Podpunkt a)

68

Podpunkt b)

68

Zadanie 7.

68
6.2. Pola wielokątów
69

Zadanie 1.

69

Zadanie 2.

69

Zadanie 3.

69

Podpunkt a)

69

Podpunkt b)

69

Zadanie 4.

69

Podpunkt a)

69

Podpunkt b)

69

Podpunkt c)

69

Podpunkt d)

69

Zadanie 5.

70

Zadanie 6.

70

Zadanie 7.

70

Podpunkt a)

70

Podpunkt b)

70

Zadanie 8.

70

Zadanie 9.

71

Zadanie 10.

71

Podpunkt a)

71

Podpunkt b)

71

Zadanie 11.

71

Zadanie 12.

72

Zadanie 13.

72

Zadanie 14.

72
6.3. Figury w układzie współrzędnych
73

Zadanie 1.

73

Zadanie 2.

73

Zadanie 3.

73

Podpunkt a)

73

Podpunkt b)

73

Podpunkt c)

73

Zadanie 4.

74

Podpunkt a)

74

Podpunkt b)

74

Zadanie 5.

74

Podpunkt a)

74

Podpunkt b)

74

Zadanie 6.

74

Zadanie 7.

75

Zadanie 8.

75

Zadanie 9.

75

Podpunkt a)

75

Podpunkt b)

75

Zadanie 10.

76

Podpunkt a)

76

Podpunkt b)

76

Zadanie 11.

76

Zadanie 12.

76
Pełny spis treści
Skul
Artboard 1
Skul.pl
  • Napisz do nas
  • FAQ
  • Mapa Serwisu
  • Google Play
  • App Store

Korzystanie z portalu oznacza akceptację Regulaminu.
Polityka prywatności. Ustawienia preferencji. Copyright: INTERIA.PL 1999-2023 Wszystkie prawa zastrzeżone.