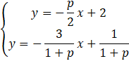
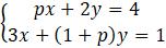
W tym zadaniu trzeba określić dla jakiego p układ równań podany niżej nie będzie miał rozwiązań.
Wyjściowy układ równań jest równoważny układowi:
Proste opisywane przez te dwa równania będą równoległe, gdy ich współczynniki kierunkowe będą wynosić tyle samo. Ale nie mogą to być równania tej samej prostej (gdyż wtedy układ równań będzie miał nieskończenie wiele rozwiązań), więc wyrazy wolne muszą się różnić między sobą.
Otrzymane wartości nie są sprzeczne z żadnym wcześniejszym założeniem, więc to już końcowy wynik.
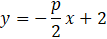
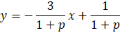
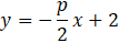
Podany układ równań nie będzie miał rozwiązań, gdy wykresy obu równań będą prostymi równoległymi do siebie. Aby określić dla jakiej wartości parametru p nastąpi taka sytuacja zamień najpierw oba równania na postacie kierunkowe.
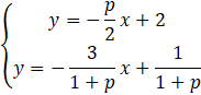
Postać kierunkowa równania prostej charakteryzuje się tym, że po jednej stronie równania znajduje się sam y, zaś po drugiej pozostałe składniki (a więc wyrażenie z x). Więc w obu równaniach musisz poprzenosić wszystkie składniki, poza tym zawierającym y na drugą stronę, a następnie podzielić obustronnie przez współczynnik stojący przy y.
Ponieważ dzielisz przez p, to musisz założyć, że nie będziesz dzielił przez 0. A dla p = -1, wyrażenie, przez które dzielisz wynosi 0.
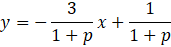
Wyjściowy układ równań możesz zapisać więc jako:
Proste opisywane przez te dwa równania będą równoległe, gdy ich współczynniki kierunkowe będą wynosić tyle samo. Ale nie mogą to być równania tej samej prostej (gdyż wtedy układ równań będzie miał nieskończenie wiele rozwiązań), więc wyrazy wolne muszą się różnić między sobą. Zapisując te dwa warunki otrzymasz:
W pierwszym warunku możesz przemnożyć równania „na krzyż”, zaś w drugim wystarczy, że obie strony pomnożysz przez (1 + p) (tak naprawdę to też jest mnożenie „na krzyż”, z tym, że mianownik liczby 2 to 1)
Otrzymane wartości nie są sprzeczne z żadnym wcześniejszym założeniem, więc to już końcowy wynik.
Ćwiczenie B.
11Ćwiczenie C.
12Zadanie 1.
14Zadanie 2.
14Zadanie 6.
14Zadanie 9.
15Zadanie 10.
15Zadanie 12.
15Zadanie 13.
15Zadanie 14.
15Zadanie 16.
15Zadanie 17.
15Ćwiczenie A.
17Ćwiczenie B.
17Przykład 2.
19Zadanie 1.
20Zadanie 2.
20Zadanie 4.
20Zadanie 5.
20Zadanie 7.
20Zadanie 8.
20Zadanie 9.
21Zadanie 10.
21Zadanie 11.
21Zadanie 14.
21Zadanie 15.
21Zadanie 16.
21Zadanie 17.
22Zadanie 1.
26Zadanie 3.
26Zadanie 4.
27Zadanie 6.
27Zadanie 7.
27Zadanie 8.
27Zadanie 9.
27Zadanie 12.
27Ćwiczenie B.
29Zadanie 1.
30Zadanie 3.
30Zadanie 4.
30Zadanie 5.
30Zadanie 6.
30Zadanie 8.
31Zadanie 10.
31Zadanie 11.
31Zadanie 1.
35Zadanie 2.
35Zadanie 4.
36Zadanie 5.
36Zadanie 6.
36Zadanie 7.
36Zadanie 8.
36Zadanie 11.
36Zadanie 12.
36Zadanie 14.
37Zadanie 1.
38Zadanie 11.
38Zadanie 12.
38