W tym zadaniu trzeba określić jak względem siebie są położone (styczne, przecinające się lub rozłączne) okręgi zadane równaniami x2 + y2 = 10 oraz (x + 1)2 + (y – 7)2 = 26.
Suma promieni:
Ponieważ pierwiastek z 5 jest na pewno większy od 2 (bo 5 > 4), a pierwiastek z 13 jest większy od 3 (bo 13 > 9), to ich suma jest większa od 5.
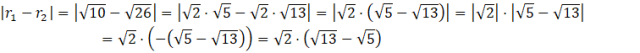
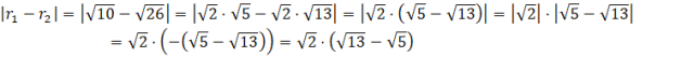
Różnica promieni:
Ponieważ pierwiastek z 13 jest na pewno mniejszy od 4 (bo 13 < 16), a pierwiastek z 5 jest na pewno większy od 2 (bo 5 > 4), to ich różnica jest mniejsza od 2.
Więc te okręgi przecinają się.
Dwa okręgi są zewnętrznie rozłączne, jeśli odległość między ich środkami jest większa niż suma ich promieni, są styczne, jeśli odległość wynosi tyle co suma ich promieni, zaś przecinają się, jeśli ta odległość jest mniejsza nić suma promieni.
Musisz jeszcze pamiętać o sytuacji, kiedy jeden okrąg znajduje się wewnątrz drugiego. Taka sytuacja zachodzi, gdy odległości między środkami okręgów jest mniejsza od różnicy promieni (oczywiście w module, by różnica ta nie była ujemna). Natomiast jeśli odległość między środkami okręgów równa się tej różnicy to okręgi są styczne wewnętrznie.
Więc zadanie sprowadza się do obliczenia odległości między środkami podanych okręgów i porównaniu jej z sumą ich promieni, a jeśli ta odległość okaże się mniejsza od sumy, to jeszcze powinieneś porównać ją z różnicą promieni
Jednakże, aby obliczyć odległość między środkami okręgów musisz wyznaczyć współrzędne tych środków a także ich promienie.
Równanie okręgu w postaci kanonicznej ma postać:
Gdzie współrzędne środka tego okręgu to S = (a, b), zaś promień to r. Na tej podstawie możesz odczytać współrzędne środków tych okręgów oraz ich promienie. Pamiętaj, że przy współrzędnych środka stoją minusy, więc odczytując je pamiętaj by zmienić znak.
Odległość między tymi środkami obliczysz ze wzoru na długość odcinka łączącego dwa punkty:
Suma promieni:
Ponieważ pierwiastek z 5 jest na pewno większy od 2 (bo 5 > 4), a pierwiastek z 13 jest większy od 3 (bo 13 > 9), to ich suma jest większa od 5. Więc możesz stwierdzić:
Różnica promieni:
Ponieważ pierwiastek z 13 jest na pewno mniejszy od 4 (bo 13 < 16), a pierwiastek z 5 jest na pewno większy od 2 (bo 5 > 4), to ich różnica jest mniejsza od 2. Więc możesz stwierdzić:
Więc te okręgi przecinają się.
Ćwiczenie B.
11Ćwiczenie C.
12Zadanie 1.
14Zadanie 2.
14Zadanie 6.
14Zadanie 9.
15Zadanie 10.
15Zadanie 12.
15Zadanie 13.
15Zadanie 14.
15Zadanie 16.
15Zadanie 17.
15Ćwiczenie A.
17Ćwiczenie B.
17Przykład 2.
19Zadanie 1.
20Zadanie 2.
20Zadanie 4.
20Zadanie 5.
20Zadanie 7.
20Zadanie 8.
20Zadanie 9.
21Zadanie 10.
21Zadanie 11.
21Zadanie 14.
21Zadanie 15.
21Zadanie 16.
21Zadanie 17.
22Zadanie 1.
26Zadanie 3.
26Zadanie 4.
27Zadanie 6.
27Zadanie 7.
27Zadanie 8.
27Zadanie 9.
27Zadanie 12.
27Ćwiczenie B.
29Zadanie 1.
30Zadanie 3.
30Zadanie 4.
30Zadanie 5.
30Zadanie 6.
30Zadanie 8.
31Zadanie 10.
31Zadanie 11.
31Zadanie 1.
35Zadanie 2.
35Zadanie 4.
36Zadanie 5.
36Zadanie 6.
36Zadanie 7.
36Zadanie 8.
36Zadanie 11.
36Zadanie 12.
36Zadanie 14.
37Zadanie 1.
38Zadanie 11.
38Zadanie 12.
38