W tym zadaniu należy obliczyć współrzędne punktu, który jest w symetrii z punktem S względem osi x, wiedząc, że punkt S jest w symetrii z punktem R względem prostej o równaniu y = -3, zaś punkt R jest w symetrii z punktem P = (-1, 7) względem osi y.
Punktu R w symetrii z punktem P względem osi y.
S symetryczny do R względem prostej y = -3, więc środek odcinka RS leży na tej prostej. (aby uniknąć kolizji oznaczeń niech ten środek będzie oznaczony inną literą niż S, np. O):
Odcinek RS równoległy do osi x.
Szukany punkt S’ jest w symetrii względem osi x z punktem S.
Najpierw musisz wyznaczyć współrzędne punktu R. Jest on w symetrii z punktem P względem osi y. Pamiętaj, że punkty symetryczne względem osi y różnią się jedynie znakiem pierwszej współrzędnej. Więc aby uzyskać współrzędne R, to musisz po prostu wziąć współrzędne P i zmienić znak pierwszej współrzędnej na przeciwny.
Następnie musisz wyznaczyć współrzędne punktu S. Jeśli S jest symetryczny do R względem prostej y = -3, to środek odcinka RS leży na tej prostej. Wszystkie punkty na tej prostej mają drugą współrzędną wynoszącą -3. Oznacza to, że ten środek odcinka można zapisać (aby uniknąć kolizji oznaczeń oznacz go inną literą niż S, np. O):
Ponieważ prosta y = -3 jest równoległa do osi y, a odcinek RS jest prostopadły do tej prostej, to odcinek ten jest równoległy do osi x. Oznacza to, że pierwsza współrzędna punktu S jest taka sama jak R:
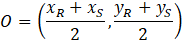
Teraz musisz zapisać ze wzoru współrzędne środka odcinka łączącego punkty R i S oraz podstawić znane współrzędne O:
Potrzebujesz jedynie obliczyć drugą współrzędną, więc przyrównaj drugie współrzędne do siebie:
Mając już współrzędne punktu S możesz wyliczyć punkt symetryczny do punktu S względem osi x. Punkty symetryczne względem osi x różnią się jedynie znakiem drugiej współrzędnej. Więc aby wyliczyć szukane współrzędne musisz wziąć współrzędne punktu S i zmienić znak drugiej współrzędnej na przeciwny.
Ćwiczenie B.
11Ćwiczenie C.
12Zadanie 1.
14Zadanie 2.
14Zadanie 6.
14Zadanie 9.
15Zadanie 10.
15Zadanie 12.
15Zadanie 13.
15Zadanie 14.
15Zadanie 16.
15Zadanie 17.
15Ćwiczenie A.
17Ćwiczenie B.
17Przykład 2.
19Zadanie 1.
20Zadanie 2.
20Zadanie 4.
20Zadanie 5.
20Zadanie 7.
20Zadanie 8.
20Zadanie 9.
21Zadanie 10.
21Zadanie 11.
21Zadanie 14.
21Zadanie 15.
21Zadanie 16.
21Zadanie 17.
22Zadanie 1.
26Zadanie 3.
26Zadanie 4.
27Zadanie 6.
27Zadanie 7.
27Zadanie 8.
27Zadanie 9.
27Zadanie 12.
27Ćwiczenie B.
29Zadanie 1.
30Zadanie 3.
30Zadanie 4.
30Zadanie 5.
30Zadanie 6.
30Zadanie 8.
31Zadanie 10.
31Zadanie 11.
31Zadanie 1.
35Zadanie 2.
35Zadanie 4.
36Zadanie 5.
36Zadanie 6.
36Zadanie 7.
36Zadanie 8.
36Zadanie 11.
36Zadanie 12.
36Zadanie 14.
37Zadanie 1.
38Zadanie 11.
38Zadanie 12.
38