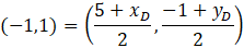
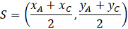
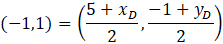
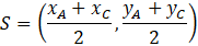
W tym zadaniu musisz wyznaczyć współrzędne wierzchołka D w równoległoboku ABCD, jeśli wiesz, że wierzchołkami tego równoległoboku są po kolei punkty A = (-4, -5), B = (5, -1) i C = (2, 7).
Przekątne w równoległoboku przecinają się dokładnie w połowie.
Przypomnij sobie własności równoległoboku. Mianowicie przekątne w równoległoboku przecinają się dokładnie w połowie. Oznacza to, że środkiem każdej przekątnej jest ich punkt przecięcia się. Przekątna to oczywiście odcinek łączący przeciwległe wierzchołki. W opisanej w treści zadania sytuacji, przeciwległymi wierzchołkami są A i C oraz B i D.
Aby obliczyć współrzędne punktu D, musisz policzyć współrzędne punktu przecięcia się przekątnych. Jednakże punkt ten to to samo, co środek przekątnej łączącej A i C.
Zapisz współrzędne środka odcinka łączącego punkty A i C, a następnie podstaw dane:
Następnie zapisz współrzędne środka odcinka łączącego punkty B i D przy pomocy wzoru i przyrównaj do wyliczonego punktu przecięcia się przekątnych:
Przyrównaj do siebie każdą współrzędną
Ćwiczenie B.
11Ćwiczenie C.
12Zadanie 1.
14Zadanie 2.
14Zadanie 6.
14Zadanie 9.
15Zadanie 10.
15Zadanie 12.
15Zadanie 13.
15Zadanie 14.
15Zadanie 16.
15Zadanie 17.
15Ćwiczenie A.
17Ćwiczenie B.
17Przykład 2.
19Zadanie 1.
20Zadanie 2.
20Zadanie 4.
20Zadanie 5.
20Zadanie 7.
20Zadanie 8.
20Zadanie 9.
21Zadanie 10.
21Zadanie 11.
21Zadanie 14.
21Zadanie 15.
21Zadanie 16.
21Zadanie 17.
22Zadanie 1.
26Zadanie 3.
26Zadanie 4.
27Zadanie 6.
27Zadanie 7.
27Zadanie 8.
27Zadanie 9.
27Zadanie 12.
27Ćwiczenie B.
29Zadanie 1.
30Zadanie 3.
30Zadanie 4.
30Zadanie 5.
30Zadanie 6.
30Zadanie 8.
31Zadanie 10.
31Zadanie 11.
31Zadanie 1.
35Zadanie 2.
35Zadanie 4.
36Zadanie 5.
36Zadanie 6.
36Zadanie 7.
36Zadanie 8.
36Zadanie 11.
36Zadanie 12.
36Zadanie 14.
37Zadanie 1.
38Zadanie 11.
38Zadanie 12.
38