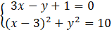
W tym zadaniu trzeba ustalić jakie współrzędne mają punkty wspólne prostej zadanej równaniem
Punkty przecięcia się prostej z okręgiem to:
Współrzędne punktów wspólnych podanej prostej z okręgiem będą spełniać układ równań składający się z równań podanej prostej i okręgu. Mają być to punkty, które jednocześnie należą do tej prostej i okręgu, więc muszą spełniać równania je opisujące na raz.
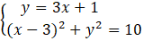
Skorzystaj tutaj z metody podstawiania. Przekształć pierwsze równanie tak aby po jednej stronie znajdował się x lub y, a po drugiej pozostałe składniki. W tym przypadku łatwiej będzie wyznaczyć y w zależności od pozostałych składników przenosząc y na drugą stronę.
Teraz podstaw y do drugiego równania.
Zastosuj wzory skróconego mnożenia do obu nawiasów
A następnie uprość wyrażenie i przenieś wszystkie składniki na jedną stronę.
Teraz aby otrzymać drugie współrzędne tych punktów musisz podstawić otrzymane liczby do któregokolwiek równania. Wykorzystaj otrzymaną zależność y od x.
Więc punkt, który jest wspólny dla prostej i okręgu opisanych w treści to:
Ćwiczenie B.
11Ćwiczenie C.
12Zadanie 1.
14Zadanie 2.
14Zadanie 6.
14Zadanie 9.
15Zadanie 10.
15Zadanie 12.
15Zadanie 13.
15Zadanie 14.
15Zadanie 16.
15Zadanie 17.
15Ćwiczenie A.
17Ćwiczenie B.
17Przykład 2.
19Zadanie 1.
20Zadanie 2.
20Zadanie 4.
20Zadanie 5.
20Zadanie 7.
20Zadanie 8.
20Zadanie 9.
21Zadanie 10.
21Zadanie 11.
21Zadanie 14.
21Zadanie 15.
21Zadanie 16.
21Zadanie 17.
22Zadanie 1.
26Zadanie 3.
26Zadanie 4.
27Zadanie 6.
27Zadanie 7.
27Zadanie 8.
27Zadanie 9.
27Zadanie 12.
27Ćwiczenie B.
29Zadanie 1.
30Zadanie 3.
30Zadanie 4.
30Zadanie 5.
30Zadanie 6.
30Zadanie 8.
31Zadanie 10.
31Zadanie 11.
31Zadanie 1.
35Zadanie 2.
35Zadanie 4.
36Zadanie 5.
36Zadanie 6.
36Zadanie 7.
36Zadanie 8.
36Zadanie 11.
36Zadanie 12.
36Zadanie 14.
37Zadanie 1.
38Zadanie 11.
38Zadanie 12.
38