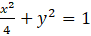
W tym zadaniu trzeba obliczyć jakie współrzędne mają punkty przecięcia się elipsy zadanej równaniem
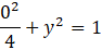
Pierwsza współrzędna punktów przecięć elipsy z osią OY wynosi 0.
Więc punkty przecięcia się tej elipsy z osią OY to:
Druga współrzędna punktów przecięć elipsy z osią OX wynosi 0.
Więc punkty przecięcia się tej elipsy z osią OX to:
Sumy odległości poszczególnych punktów przecięć do punktów P1 i P2
Pierwsza współrzędna punktów przecięć elipsy z osią OY wynosi 0. Więc jeśli podstawisz do równania tej elipsy x = 0 i rozwiążesz je, to otrzymasz drugie współrzędne punktów przecięć tej elipsy z osią OY.
Pamiętaj, że pierwiastkując obustronnie musisz rozważyć obydwa przypadki.
Więc punkty przecięcia się tej elipsy z osią OY to:
Analogicznie możesz wyznaczyć współrzędne punktów przecięcia się tej elipsy z osią OX, z tą różnicą, że wtedy druga współrzędna tych punktów będzie wynosiła 0. Więc musisz do równania podstawić y = 0 i je rozwiązać.
Pamiętaj, że pierwiastkując obustronnie musisz rozważyć obydwa przypadki.
Więc punkty przecięcia się tej elipsy z osią OY to:
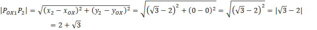
Aby obliczyć sumę odległości od punktów P1 i P2 musisz użyć wzorów na odległość między dwoma punktami. Zastosuj go do każdego z punktów a następnie dodaj do siebie te odległości.
Tutaj skorzystasz z tego, że pierwiastek z kwadratu liczby to wartość bezwzględna tej liczby.
(ponieważ
Zgodnie z informacją w ramce, dla każdego z badanych punktów suma odległości od ognisk jest taka sama i wynosi w tym wypadku 4.
Ćwiczenie B.
11Ćwiczenie C.
12Zadanie 1.
14Zadanie 2.
14Zadanie 6.
14Zadanie 9.
15Zadanie 10.
15Zadanie 12.
15Zadanie 13.
15Zadanie 14.
15Zadanie 16.
15Zadanie 17.
15Ćwiczenie A.
17Ćwiczenie B.
17Przykład 2.
19Zadanie 1.
20Zadanie 2.
20Zadanie 4.
20Zadanie 5.
20Zadanie 7.
20Zadanie 8.
20Zadanie 9.
21Zadanie 10.
21Zadanie 11.
21Zadanie 14.
21Zadanie 15.
21Zadanie 16.
21Zadanie 17.
22Zadanie 1.
26Zadanie 3.
26Zadanie 4.
27Zadanie 6.
27Zadanie 7.
27Zadanie 8.
27Zadanie 9.
27Zadanie 12.
27Ćwiczenie B.
29Zadanie 1.
30Zadanie 3.
30Zadanie 4.
30Zadanie 5.
30Zadanie 6.
30Zadanie 8.
31Zadanie 10.
31Zadanie 11.
31Zadanie 1.
35Zadanie 2.
35Zadanie 4.
36Zadanie 5.
36Zadanie 6.
36Zadanie 7.
36Zadanie 8.
36Zadanie 11.
36Zadanie 12.
36Zadanie 14.
37Zadanie 1.
38Zadanie 11.
38Zadanie 12.
38