W tym zadaniu trzeba znaleźć współrzędne punktu Q, który leży na prostej y = 2x i jest trzecim wierzchołkiem równoramiennego trójkąta PQR, gdzie P = (1, -2) i R = (4, -3). Należy rozważyć wszystkie możliwe przypadki.
Q = (x, 2x)
1. Przypadek – boki PQ i PR to ramiona trójkąta równoramiennego
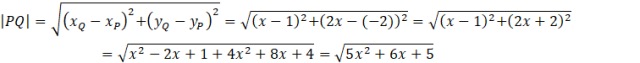
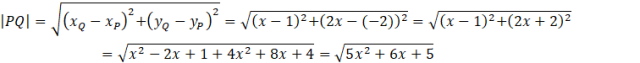
|PQ|=|PR|, więc |PQ|2=|PR|2
2. Przypadek – boki PQ i QR to ramiona trójkąta równoramiennego
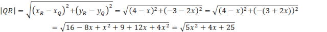
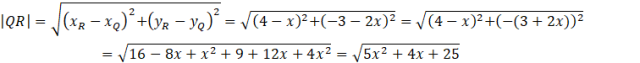
|PQ|=|QR|, więc |PQ|2=|QR|2
3. Przypadek – boki PR i QR to ramiona trójkąta równoramiennego
|QR|=|PR|, więc |QR|2=|PR|2
Brak rozwiązań
W treści zadania nie ma mowy o tym która para boków jest ramionami trójkąta równoramiennego (czyli są tej samej długości). Dlatego musisz rozpatrzyć 3 możliwe przypadki. Jednak zanim to zrobisz, warto abyś skorzystał z informacji o punkcie Q. Leży on na prostej 2x, a to oznacza, że można go zapisać jako Q=(x,2x). Dobrze też policzyć sobie wcześniej długość odcinka PR oraz długości odcinków PQ i QR, które oczywiście będą zależały od zmiennej x.
W każdym z przypadków przyrównujesz do siebie długości odpowiednich boków. Za te długości podstawiasz odpowiednie wyrażenia i dostajesz równanie, które rozwiązujesz już standardowo przy użyciu Δ.
1. Przypadek – boki PQ i PR to ramiona trójkąta równoramiennego
|PQ|=|PR|, więc |PQ|2=|PR|2
2. Przypadek – boki PQ i QR to ramiona trójkąta równoramiennego
|PQ|=|QR|, więc |PQ|2=|QR|2
3. Przypadek – boki PR i QR to ramiona trójkąta równoramiennego
|QR|=|PR|, więc |QR|2=|PR|2
Brak rozwiązań
Ćwiczenie B.
11Ćwiczenie C.
12Zadanie 1.
14Zadanie 2.
14Zadanie 6.
14Zadanie 9.
15Zadanie 10.
15Zadanie 12.
15Zadanie 13.
15Zadanie 14.
15Zadanie 16.
15Zadanie 17.
15Ćwiczenie A.
17Ćwiczenie B.
17Przykład 2.
19Zadanie 1.
20Zadanie 2.
20Zadanie 4.
20Zadanie 5.
20Zadanie 7.
20Zadanie 8.
20Zadanie 9.
21Zadanie 10.
21Zadanie 11.
21Zadanie 14.
21Zadanie 15.
21Zadanie 16.
21Zadanie 17.
22Zadanie 1.
26Zadanie 3.
26Zadanie 4.
27Zadanie 6.
27Zadanie 7.
27Zadanie 8.
27Zadanie 9.
27Zadanie 12.
27Ćwiczenie B.
29Zadanie 1.
30Zadanie 3.
30Zadanie 4.
30Zadanie 5.
30Zadanie 6.
30Zadanie 8.
31Zadanie 10.
31Zadanie 11.
31Zadanie 1.
35Zadanie 2.
35Zadanie 4.
36Zadanie 5.
36Zadanie 6.
36Zadanie 7.
36Zadanie 8.
36Zadanie 11.
36Zadanie 12.
36Zadanie 14.
37Zadanie 1.
38Zadanie 11.
38Zadanie 12.
38