W tym zadaniu musisz wyznaczyć punkty wspólne prostej m, która przechodzi przez punkt (0,4) oraz okręgu o środku w punkcie P = (3, -2) oraz przechodzącego przez punkt (0, -3). Prosta m przechodzi także przez punkt P.
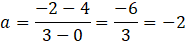
Współczynnik kierunkowy prostej m:
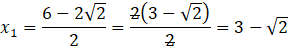
Więc punkty wspólne prostej m i rozważanego okręgu to:
Aby wyznaczyć współrzędne punktów wspólnych tej prostej i okręgu musisz wyznaczyć ich równania.
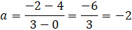
Współczynnik kierunkowy prostej m możesz wyliczyć ze wzoru:
Podstawiając współrzędne punktu P i tego przez który przechodzi prosta m otrzymasz:
Skoro punkt (0, 4) należy do prostej m, to podstawiając jego pierwszą współrzędną za x, zaś drugą za y otrzymasz prawdziwą równość:
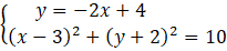
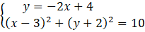
Więc prosta m jest zadana równaniem:
Znając współrzędne środka okręgu możesz zapisać jego równanie jako:
Skoro punkt (0, -3) należy do tego okręgu, to podstawiając do równanie tego okręgu x = 0 oraz y = -3 otrzymasz prawdziwe równanie.
Nie musisz wyznaczać r, gdyż w równaniu prostej występuje r2.
Więc równanie rozważanego okręgu w pełni ma postać:
Punkty wspólne prostej m i tego okręgu spełniają jednocześnie równania ich obu. Więc tworząc układ równań składający się z jednego i drugiego równania, a następnie go rozwiązując otrzymasz współrzędne szukanych punktów.
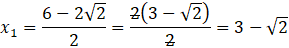
Zauważ, że z równania prostej masz od razu wyznaczoną zmienną y w zależności od x. Podstaw za y równanie prostej.
Nawiasy wylicz ze wzorów skróconego mnożenia. Aby móc użyć wzoru skróconego mnożenia do drugiego nawiasu musisz zamienić składniki miejscami.
Zauważ, że każdy ze składników tego równania dzieli się przez 5, więc dla uproszczenia obliczeń podziel obie strony przez 5.
Otrzymałeś równanie kwadratowe, które rozwiąż przy użyciu Δ.
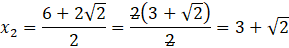
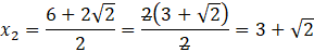
Aby obliczyć drugie współrzędne podstaw otrzymane wyniki do któregoś z dwóch równań za x. Zdecydowanie łatwiej będzie to zrobić podstawiając do równania prostej.
Więc punkty wspólne prostej m i rozważanego okręgu to:
Ćwiczenie B.
11Ćwiczenie C.
12Zadanie 1.
14Zadanie 2.
14Zadanie 6.
14Zadanie 9.
15Zadanie 10.
15Zadanie 12.
15Zadanie 13.
15Zadanie 14.
15Zadanie 16.
15Zadanie 17.
15Ćwiczenie A.
17Ćwiczenie B.
17Przykład 2.
19Zadanie 1.
20Zadanie 2.
20Zadanie 4.
20Zadanie 5.
20Zadanie 7.
20Zadanie 8.
20Zadanie 9.
21Zadanie 10.
21Zadanie 11.
21Zadanie 14.
21Zadanie 15.
21Zadanie 16.
21Zadanie 17.
22Zadanie 1.
26Zadanie 3.
26Zadanie 4.
27Zadanie 6.
27Zadanie 7.
27Zadanie 8.
27Zadanie 9.
27Zadanie 12.
27Ćwiczenie B.
29Zadanie 1.
30Zadanie 3.
30Zadanie 4.
30Zadanie 5.
30Zadanie 6.
30Zadanie 8.
31Zadanie 10.
31Zadanie 11.
31Zadanie 1.
35Zadanie 2.
35Zadanie 4.
36Zadanie 5.
36Zadanie 6.
36Zadanie 7.
36Zadanie 8.
36Zadanie 11.
36Zadanie 12.
36Zadanie 14.
37Zadanie 1.
38Zadanie 11.
38Zadanie 12.
38