W tym zadaniu musisz określić która prosta spośród podanych nie jest równoległa do prostej zadanej równaniem
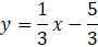
Współczynnik kierunkowy prostej wzorcowej wynosi
A.
Współczynnik kierunkowy:
B.
Współczynnik kierunkowy:
C.
Współczynnik kierunkowy:
D.
Współczynnik kierunkowy:
Odp.: B.
Aby określić która prosta nie jest równoległa do podanej prostej musisz określić która prosta nie ma takiego samego współczynnika kierunkowego jak prosta wzorcowa. Jednakże, aby określić współczynnik kierunkowy każdej z prostych musisz zapisać je na postać kierunkową. Zacznij od prostej wzorcowej.
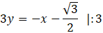
Spójrz, jak wygląda postać kierunkowa równania prostej. Po jednej stronie równania jest zawsze y, zaś po drugiej wyrażenie z x i wyraz wolny. Oczywiście współczynnik stojący przy x może wynosić 0, wtedy nie zapisuje się go i po drugiej stronie stoi jedynie wyraz wolny. Więc aby zapisać równanie w postaci kierunkowej musisz przenieść y na jedną stronę tak by był jedynym wyrażeniem z tej strony, a następnie ewentualnie pozbyć się liczby stojącej przy y.
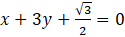
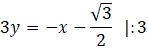
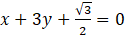
A więc prosta wzorcowa ma współczynnik kierunkowy wynoszący
Teraz musisz postąpić analogicznie z każdą z podanych prostych.
A.
Współczynnik kierunkowy:
B.
Współczynnik kierunkowy:
C.
Współczynnik kierunkowy:
D.
Współczynnik kierunkowy:
Ćwiczenie B.
11Ćwiczenie C.
12Zadanie 1.
14Zadanie 2.
14Zadanie 6.
14Zadanie 9.
15Zadanie 10.
15Zadanie 12.
15Zadanie 13.
15Zadanie 14.
15Zadanie 16.
15Zadanie 17.
15Ćwiczenie A.
17Ćwiczenie B.
17Przykład 2.
19Zadanie 1.
20Zadanie 2.
20Zadanie 4.
20Zadanie 5.
20Zadanie 7.
20Zadanie 8.
20Zadanie 9.
21Zadanie 10.
21Zadanie 11.
21Zadanie 14.
21Zadanie 15.
21Zadanie 16.
21Zadanie 17.
22Zadanie 1.
26Zadanie 3.
26Zadanie 4.
27Zadanie 6.
27Zadanie 7.
27Zadanie 8.
27Zadanie 9.
27Zadanie 12.
27Ćwiczenie B.
29Zadanie 1.
30Zadanie 3.
30Zadanie 4.
30Zadanie 5.
30Zadanie 6.
30Zadanie 8.
31Zadanie 10.
31Zadanie 11.
31Zadanie 1.
35Zadanie 2.
35Zadanie 4.
36Zadanie 5.
36Zadanie 6.
36Zadanie 7.
36Zadanie 8.
36Zadanie 11.
36Zadanie 12.
36Zadanie 14.
37Zadanie 1.
38Zadanie 11.
38Zadanie 12.
38