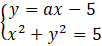
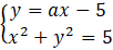
W tym zadaniu trzeba ustalić dla jakich parametrów a, prosta zadana równaniem y = ax – 5 będzie przecinała w dwóch punktach okrąg opisany równaniem x2 + y2 = 5.
Ponieważ prosta przecinająca okrąg ma dwa punkty wspólne z tym okręgiem, więc powyższe równanie musi mieć dwa rozwiązania. Ponieważ jest to równanie kwadratowe, to dwa rozwiązania ma wtedy i tylko wtedy, gdy:
Więc rozważana prosta przecina okrąg dla
Punkty przecięcia będą należały zarówno do szukanej prostej, jak i do podanego okręgu. Więc ich współrzędne będą spełniać oba równania na raz. Równanie takie będzie więc miało dwa rozwiązania, gdyż prosta przecina okrąg w dwóch punktach. Zapisz oba równania jako układ równań:
Zauważ, że z równania prostej masz od razu wyznaczoną zmienną y w zależności od x oraz a. Aby uzyskać równanie z jedną zmienną wystarczy, że do równania okręgu za y podstawisz równanie prostej.
Wyrażenie z nawiasu oblicz przy użyciu wzoru skróconego mnożenia.
A następnie uprość wyrażenie i przenieś wszystkie składniki na jedną stronę. Warto także zapisać to jako równanie ze względu na x, a więc uporządkuj je tak, by wszystkie składniki z x były obok siebie. A następnie wyciągnij x w odpowiedniej potędze z tych składników.
Zauważ, że otrzymałeś równanie kwadratowe ze względu na x. Równanie to powinno mieć dwa rozwiązania (wartości x będące pierwszą współrzędną punktów przecięć). Równanie kwadratowe ma dwa rozwiązania tylko wtedy, gdy Δ > 0. Więc musisz obliczyć Δ i rozwiązać nierówność z otrzymanym wyrażeniem.
Pierwiastek z kwadratu pewnej liczby to wartość bezwzględna tej liczby. Dostajesz więc nierówność z wartością bezwzględną.
Oczywiście musisz rozbić tę nierówność na dwie nierówności zgodnie z zasadami dotyczącymi nierówności z wartością bezwzględną.
Zapisując rozwiązanie w postaci przedziału otrzymasz:
Ćwiczenie B.
11Ćwiczenie C.
12Zadanie 1.
14Zadanie 2.
14Zadanie 6.
14Zadanie 9.
15Zadanie 10.
15Zadanie 12.
15Zadanie 13.
15Zadanie 14.
15Zadanie 16.
15Zadanie 17.
15Ćwiczenie A.
17Ćwiczenie B.
17Przykład 2.
19Zadanie 1.
20Zadanie 2.
20Zadanie 4.
20Zadanie 5.
20Zadanie 7.
20Zadanie 8.
20Zadanie 9.
21Zadanie 10.
21Zadanie 11.
21Zadanie 14.
21Zadanie 15.
21Zadanie 16.
21Zadanie 17.
22Zadanie 1.
26Zadanie 3.
26Zadanie 4.
27Zadanie 6.
27Zadanie 7.
27Zadanie 8.
27Zadanie 9.
27Zadanie 12.
27Ćwiczenie B.
29Zadanie 1.
30Zadanie 3.
30Zadanie 4.
30Zadanie 5.
30Zadanie 6.
30Zadanie 8.
31Zadanie 10.
31Zadanie 11.
31Zadanie 1.
35Zadanie 2.
35Zadanie 4.
36Zadanie 5.
36Zadanie 6.
36Zadanie 7.
36Zadanie 8.
36Zadanie 11.
36Zadanie 12.
36Zadanie 14.
37Zadanie 1.
38Zadanie 11.
38Zadanie 12.
38