W tym zadaniu musisz wyznaczyć jakiekolwiek równania prostych równoległej i prostopadłej do prostej
Współczynnik kierunkowy prostej podanej w zadaniu:
Współczynnik kierunkowy prostej równoległej do tej z treści zadania:
Prosta równoległa do prostej z zadania:
Gdzie b może być dowolną liczbą. Niech b = 1, wtedy:
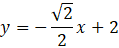
Wyznaczanie współczynnika kierunkowego prostej prostopadłej do tej z treści zadania:
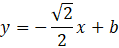
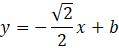
Prosta prostopadła do tej z zadania
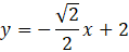
Gdzie b może być dowolną liczbą. Niech b = 2, wtedy:
Aby wyznaczyć dowolne równania prostych równoległej i prostopadłej musisz znać współczynnik kierunkowy prostej podanej w zadaniu. Wynosi on oczywiście
Prosta która jest równoległa do prostej z zadania ma współczynnik kierunkowy wynoszący tyle samo co tej prostej, a więc
Aby uzyskać równanie dowolnej prostej wystarczy, że weźmiesz dowolną wartość wyrazu wolnego b. Niech to będzie np. 1. Otrzymasz wtedy prostą:
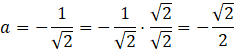
Współczynnik kierunkowy prostej która jest prostopadła do prostej z zadania razem z współczynnikiem kierunkowym prostej wzorcowej spełnia zależność:
Gdy podstawisz za któreś a współczynnik kierunkowy prostej z zadania otrzymasz poszukiwany współczynnik:
Ponieważ w mianowniku jest pierwiastek musisz usunąć niewymierność z mianownika. Robisz to przez pomnożenie licznika i mianownika przez
A więc równanie w postaci kierunkowej szukanej prostej możesz zapisać jako:
Podobnie jak w przypadku prostej równoległej, aby uzyskać równanie dowolnej prostej wystarczy, że weźmiesz dowolną wartość wyrazu wolnego b. Niech tym razem dla odmiany będzie to np. 2. Otrzymasz wtedy prostą:
Oczywiście możesz wybrać inne wartości wyrazów wolnych.
Ćwiczenie B.
11Ćwiczenie C.
12Zadanie 1.
14Zadanie 2.
14Zadanie 6.
14Zadanie 9.
15Zadanie 10.
15Zadanie 12.
15Zadanie 13.
15Zadanie 14.
15Zadanie 16.
15Zadanie 17.
15Ćwiczenie A.
17Ćwiczenie B.
17Przykład 2.
19Zadanie 1.
20Zadanie 2.
20Zadanie 4.
20Zadanie 5.
20Zadanie 7.
20Zadanie 8.
20Zadanie 9.
21Zadanie 10.
21Zadanie 11.
21Zadanie 14.
21Zadanie 15.
21Zadanie 16.
21Zadanie 17.
22Zadanie 1.
26Zadanie 3.
26Zadanie 4.
27Zadanie 6.
27Zadanie 7.
27Zadanie 8.
27Zadanie 9.
27Zadanie 12.
27Ćwiczenie B.
29Zadanie 1.
30Zadanie 3.
30Zadanie 4.
30Zadanie 5.
30Zadanie 6.
30Zadanie 8.
31Zadanie 10.
31Zadanie 11.
31Zadanie 1.
35Zadanie 2.
35Zadanie 4.
36Zadanie 5.
36Zadanie 6.
36Zadanie 7.
36Zadanie 8.
36Zadanie 11.
36Zadanie 12.
36Zadanie 14.
37Zadanie 1.
38Zadanie 11.
38Zadanie 12.
38