W tym zadaniu musisz obliczyć współrzędne czwartego wierzchołku równoległoboku, w którym przeciwne wierzchołki są punktami o współrzędnych (-3, 5) i (3, 1), zaś współrzędne trzeciego wierzchołka wynoszą (-3, -2).
A = (-3, 5)
B = (-3, -2)
C = (3, 1)
D – czwarty, szukany wierzchołek
AC, BD – przekątne równoległoboku
W równoległoboku przekątne przecinają się w połowie, więc:
Zauważ, że przekątna, to odcinek łączący dwa przeciwległe wierzchołki równoległoboku. Niech punkt (-3, 5) będzie punktem A, zaś (3, 1) będzie punktem C. Odcinek AC będzie więc przekątną tego równoległoboku. Pamiętaj, że przekątne w równoległoboku przecinają się w połowie. Oznacza to, że środek odcinka AC to także środek odcinka BD (niech B = (-3, -2), a szukany wierzchołek oznacz jako D).
Współrzędne środka odcinka łączącego wierzchołki A i C możesz policzyć ze wzoru:
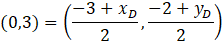
Więc:
Następnie zapisz współrzędne środka odcinka łączącego punkty B i D przy pomocy wzoru i przyrównaj do wyliczonego punktu przecięcia się przekątnych:
Przyrównaj do siebie każdą współrzędną
Ćwiczenie B.
11Ćwiczenie C.
12Zadanie 1.
14Zadanie 2.
14Zadanie 6.
14Zadanie 9.
15Zadanie 10.
15Zadanie 12.
15Zadanie 13.
15Zadanie 14.
15Zadanie 16.
15Zadanie 17.
15Ćwiczenie A.
17Ćwiczenie B.
17Przykład 2.
19Zadanie 1.
20Zadanie 2.
20Zadanie 4.
20Zadanie 5.
20Zadanie 7.
20Zadanie 8.
20Zadanie 9.
21Zadanie 10.
21Zadanie 11.
21Zadanie 14.
21Zadanie 15.
21Zadanie 16.
21Zadanie 17.
22Zadanie 1.
26Zadanie 3.
26Zadanie 4.
27Zadanie 6.
27Zadanie 7.
27Zadanie 8.
27Zadanie 9.
27Zadanie 12.
27Ćwiczenie B.
29Zadanie 1.
30Zadanie 3.
30Zadanie 4.
30Zadanie 5.
30Zadanie 6.
30Zadanie 8.
31Zadanie 10.
31Zadanie 11.
31Zadanie 1.
35Zadanie 2.
35Zadanie 4.
36Zadanie 5.
36Zadanie 6.
36Zadanie 7.
36Zadanie 8.
36Zadanie 11.
36Zadanie 12.
36Zadanie 14.
37Zadanie 1.
38Zadanie 11.
38Zadanie 12.
38