W tym zadaniu musisz wyznaczyć jakie współrzędne ma punkt będący w symetrii względem prostej o równaniu y = -4 do punktu A = (8, -5).
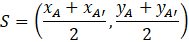
Środek odcinka AA’ leży na prostej y = -4 i jego współrzędne mają postać:
Odcinek AA’ jest równoległy do osi x.
Jeśli A’ jest symetryczny do A względem prostej y = -4, to środek odcinka AA’ leży na tej prostej. Wszystkie punkty na tej prostej mają drugą współrzędną wynoszącą -4. Oznacza to, że ten środek odcinka można zapisać:
Ponieważ prosta y = -4 jest równoległa do osi y, a odcinek AA’ jest prostopadły do tej prostej, to odcinek ten jest równoległy do osi x. Oznacza to, że pierwsza współrzędna punktu A’ jest taka sama jak A:
Teraz musisz zapisać ze wzoru współrzędne środka odcinka łączącego punkty A i A’ oraz podstawić znane współrzędne S:
Potrzebujesz jedynie obliczyć drugą współrzędną, więc przyrównaj drugie współrzędne do siebie:
Ćwiczenie B.
11Ćwiczenie C.
12Zadanie 1.
14Zadanie 2.
14Zadanie 6.
14Zadanie 9.
15Zadanie 10.
15Zadanie 12.
15Zadanie 13.
15Zadanie 14.
15Zadanie 16.
15Zadanie 17.
15Ćwiczenie A.
17Ćwiczenie B.
17Przykład 2.
19Zadanie 1.
20Zadanie 2.
20Zadanie 4.
20Zadanie 5.
20Zadanie 7.
20Zadanie 8.
20Zadanie 9.
21Zadanie 10.
21Zadanie 11.
21Zadanie 14.
21Zadanie 15.
21Zadanie 16.
21Zadanie 17.
22Zadanie 1.
26Zadanie 3.
26Zadanie 4.
27Zadanie 6.
27Zadanie 7.
27Zadanie 8.
27Zadanie 9.
27Zadanie 12.
27Ćwiczenie B.
29Zadanie 1.
30Zadanie 3.
30Zadanie 4.
30Zadanie 5.
30Zadanie 6.
30Zadanie 8.
31Zadanie 10.
31Zadanie 11.
31Zadanie 1.
35Zadanie 2.
35Zadanie 4.
36Zadanie 5.
36Zadanie 6.
36Zadanie 7.
36Zadanie 8.
36Zadanie 11.
36Zadanie 12.
36Zadanie 14.
37Zadanie 1.
38Zadanie 11.
38Zadanie 12.
38