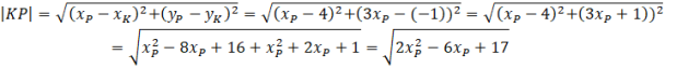
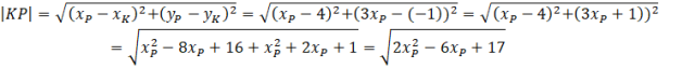
W tym zadaniu trzeba znaleźć punkt na wykresie funkcji y = 3x, który jest oddalony o 5 jednostek od punktu K = (4, -1).
Zadanie ma dwa rozwiązania: P1 = (-1, -3) i P2 = (4, 12).
Punkt, którego szukasz (nazwijmy go P), leży na prostej o równaniu y = 3x. Oznacza to, że jeśli jego pierwszą współrzędną oznaczysz jako xP, to druga będzie wynosić 3xP. Więc możesz zapisać P = (x, 3x). Skorzystaj ze wzoru na długość odcinka.
Długość odcinka KP ma wynosić 5, więc wyrażenie, które dostałeś przyrównaj do 5.
Punkt P ma postać (xP, 3xP), więc aby obliczyć drugą współrzędną musisz przemnożyć xP przez 3
Ćwiczenie B.
11Ćwiczenie C.
12Zadanie 1.
14Zadanie 2.
14Zadanie 6.
14Zadanie 9.
15Zadanie 10.
15Zadanie 12.
15Zadanie 13.
15Zadanie 14.
15Zadanie 16.
15Zadanie 17.
15Ćwiczenie A.
17Ćwiczenie B.
17Przykład 2.
19Zadanie 1.
20Zadanie 2.
20Zadanie 4.
20Zadanie 5.
20Zadanie 7.
20Zadanie 8.
20Zadanie 9.
21Zadanie 10.
21Zadanie 11.
21Zadanie 14.
21Zadanie 15.
21Zadanie 16.
21Zadanie 17.
22Zadanie 1.
26Zadanie 3.
26Zadanie 4.
27Zadanie 6.
27Zadanie 7.
27Zadanie 8.
27Zadanie 9.
27Zadanie 12.
27Ćwiczenie B.
29Zadanie 1.
30Zadanie 3.
30Zadanie 4.
30Zadanie 5.
30Zadanie 6.
30Zadanie 8.
31Zadanie 10.
31Zadanie 11.
31Zadanie 1.
35Zadanie 2.
35Zadanie 4.
36Zadanie 5.
36Zadanie 6.
36Zadanie 7.
36Zadanie 8.
36Zadanie 11.
36Zadanie 12.
36Zadanie 14.
37Zadanie 1.
38Zadanie 11.
38Zadanie 12.
38