W tym zadaniu musisz obliczyć długość promienia okręgu opisanego na trójkącie prostokątnym o wierzchołkach (-2, 4), (4,-7) i (4,4).
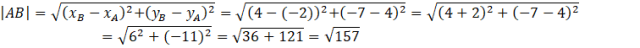
Niech A = (-2, 4), B = (4,-7) i C = (4,4)
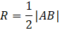
Najdłuższym bokiem tego trójkąta jest więc bok AB. Ponieważ jest to trójkąt prostokątny to odcinek AB jest przeciwprostokątną.
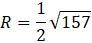
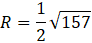
W tym zadaniu musisz sobie przypomnieć jedną z własności okręgu opisanego na trójkącie prostokątnym. Mianowicie promień okręgu opisanego na trójkącie prostokątnym to połowa jego przeciwprostokątnej. W treści zadania nie jest podany który bok jest przeciwprostokątną, dlatego musisz to wywnioskować. Aby to zrobić musisz policzyć długości każdego z boków, a następnie znaleźć najdłuższy bok. W trójkącie prostokątnym zawsze najdłuższy bok to przeciwprostokątna.
Przyjmij, że A = (-2, 4), B = (4,-7) i C = (4,4)
Najdłuższym bokiem tego trójkąta jest więc bok AB. Ponieważ jest to trójkąt prostokątny to odcinek AB jest przeciwprostokątną.
Ćwiczenie B.
11Ćwiczenie C.
12Zadanie 1.
14Zadanie 2.
14Zadanie 6.
14Zadanie 9.
15Zadanie 10.
15Zadanie 12.
15Zadanie 13.
15Zadanie 14.
15Zadanie 16.
15Zadanie 17.
15Ćwiczenie A.
17Ćwiczenie B.
17Przykład 2.
19Zadanie 1.
20Zadanie 2.
20Zadanie 4.
20Zadanie 5.
20Zadanie 7.
20Zadanie 8.
20Zadanie 9.
21Zadanie 10.
21Zadanie 11.
21Zadanie 14.
21Zadanie 15.
21Zadanie 16.
21Zadanie 17.
22Zadanie 1.
26Zadanie 3.
26Zadanie 4.
27Zadanie 6.
27Zadanie 7.
27Zadanie 8.
27Zadanie 9.
27Zadanie 12.
27Ćwiczenie B.
29Zadanie 1.
30Zadanie 3.
30Zadanie 4.
30Zadanie 5.
30Zadanie 6.
30Zadanie 8.
31Zadanie 10.
31Zadanie 11.
31Zadanie 1.
35Zadanie 2.
35Zadanie 4.
36Zadanie 5.
36Zadanie 6.
36Zadanie 7.
36Zadanie 8.
36Zadanie 11.
36Zadanie 12.
36Zadanie 14.
37Zadanie 1.
38Zadanie 11.
38Zadanie 12.
38