W tym zadaniu trzeba znaleźć współrzędne pozostałych wierzchołków równoległoboku ABCD, wiedząc, że punkty A = (-7, 3) i B = (-20, -9) są sąsiednimi wierzchołkami oraz że przekątne przecinają się w punkcie S = (1, -4).
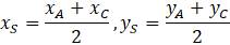
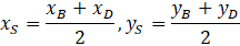
Niech C = (xC, yC) oraz D = (xD, yD).
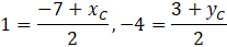
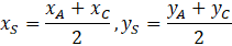
Punkt S – środek odcinka AC.
C = (9, -11), D = (29, 1)
W tego typu zadaniach warto sporządzić rysunek pomocniczy.
Przyjmij, że C = (xC, yC) oraz D = (xD, yD). Ponieważ jest to równoległobok, to punkt S jest środkiem odcinka AC. Na podstawie wzoru na współrzędne środka odcinka możesz policzyć współrzędne punktu C.
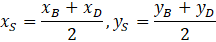
Analogicznie możesz obliczyć współrzędne punktu D, wiedząc, że punkt S jest środkiem odcinka BD.
Ćwiczenie B.
11Ćwiczenie C.
12Zadanie 1.
14Zadanie 2.
14Zadanie 6.
14Zadanie 9.
15Zadanie 10.
15Zadanie 12.
15Zadanie 13.
15Zadanie 14.
15Zadanie 16.
15Zadanie 17.
15Ćwiczenie A.
17Ćwiczenie B.
17Przykład 2.
19Zadanie 1.
20Zadanie 2.
20Zadanie 4.
20Zadanie 5.
20Zadanie 7.
20Zadanie 8.
20Zadanie 9.
21Zadanie 10.
21Zadanie 11.
21Zadanie 14.
21Zadanie 15.
21Zadanie 16.
21Zadanie 17.
22Zadanie 1.
26Zadanie 3.
26Zadanie 4.
27Zadanie 6.
27Zadanie 7.
27Zadanie 8.
27Zadanie 9.
27Zadanie 12.
27Ćwiczenie B.
29Zadanie 1.
30Zadanie 3.
30Zadanie 4.
30Zadanie 5.
30Zadanie 6.
30Zadanie 8.
31Zadanie 10.
31Zadanie 11.
31Zadanie 1.
35Zadanie 2.
35Zadanie 4.
36Zadanie 5.
36Zadanie 6.
36Zadanie 7.
36Zadanie 8.
36Zadanie 11.
36Zadanie 12.
36Zadanie 14.
37Zadanie 1.
38Zadanie 11.
38Zadanie 12.
38