W tym zadaniu należy wykazać, że punkt P2, który jest symetryczny do punktu P1 względem prostej o równaniu y = -6, jest także symetryczny do punktu P względem punktu przecięcia się prostych o równaniach x = 4 i y = -6. Punkt P1 jest z kolei symetryczny do punktu P = (-5, -2) względem prostej o równaniu x = 4.
P1 = (x1, -2) SPP1 = (4, yS1) – środek odcinka łączącego punkty P i P1
P1 = (13, -2) P2 = (13, y2) SP1P2 = (xS2, -6) – środek odcinka łączącego punkty P i P1
P2 = (13, -10)
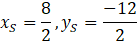
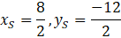
S = (xS, yS) – środek odcinka łączącego punkty P i P2
S = (4, -6) – te same współrzędne co punkt przecięcia się prostych x = 4 i y =-6
Chcąc pokazać, że punkt P2 jest symetryczny do punktu P względem punktu przecięcia się tych prostych o których mowa w zadaniu, musisz pokazać, że ten punkt przecięcia jest środkiem odcinka łączącego punkty P i P2. Z treści zadania wiesz, że punkt P1 jest symetryczny do P względem prostej x=4, a więc środek odcinka łączącego te punkty będzie leżał na tej prostej. Oznacza to, że środek tego odcinka ma pierwszą współrzędną wynoszącą 4. Ponieważ ta prosta jest równoległa do osi układu, to punkt P1 leży na tej samej „wysokości” co punkt P, więc ma taką samą drugą współrzędną. Z kolei ze wzoru na współrzędną środka odcinka możesz wyliczyć pierwszą współrzędną punktu P1.
P1 = (x1, -2) SPP1 = (4, yS1) – środek odcinka łączącego punkty P i P1
Mając już współrzędne P1, możesz określić współrzędne punktu P2. Analogicznie jak wcześniej, P2 jest symetryczny do P1 względem prostej równoległej do osi układu, ale ponieważ jest to prosta ”pozioma”, to pierwsza współrzędna P2 będzie taka sama jak P1. Natomiast drugą współrzędną wyliczysz ze wzoru na współrzędne środka odcinka, gdyż środek odcinka łączącego P1 i P2 leży na prostej będącą osią symetrii, czyli y = -6.
P1 = (13, -2) P2 = (13, y2) SP1P2 = (xS2, -6) – środek odcinka łączącego punkty P i P1
P2 = (13, -10)
Mając współrzędne punktu P2 musisz sprawdzić czy środek odcinka łączącego punkty P i P2 ma te same współrzędne co punkt przecięcia się prostych z zadania. A te proste przecinają się w punkcie S = (4, -6).
S = (xS, yS) – środek odcinka łączącego punkty P i P2
S = (4, -6) – te same współrzędne co punkt przecięcia się prostych x = 4 i y =-6
Ćwiczenie B.
11Ćwiczenie C.
12Zadanie 1.
14Zadanie 2.
14Zadanie 6.
14Zadanie 9.
15Zadanie 10.
15Zadanie 12.
15Zadanie 13.
15Zadanie 14.
15Zadanie 16.
15Zadanie 17.
15Ćwiczenie A.
17Ćwiczenie B.
17Przykład 2.
19Zadanie 1.
20Zadanie 2.
20Zadanie 4.
20Zadanie 5.
20Zadanie 7.
20Zadanie 8.
20Zadanie 9.
21Zadanie 10.
21Zadanie 11.
21Zadanie 14.
21Zadanie 15.
21Zadanie 16.
21Zadanie 17.
22Zadanie 1.
26Zadanie 3.
26Zadanie 4.
27Zadanie 6.
27Zadanie 7.
27Zadanie 8.
27Zadanie 9.
27Zadanie 12.
27Ćwiczenie B.
29Zadanie 1.
30Zadanie 3.
30Zadanie 4.
30Zadanie 5.
30Zadanie 6.
30Zadanie 8.
31Zadanie 10.
31Zadanie 11.
31Zadanie 1.
35Zadanie 2.
35Zadanie 4.
36Zadanie 5.
36Zadanie 6.
36Zadanie 7.
36Zadanie 8.
36Zadanie 11.
36Zadanie 12.
36Zadanie 14.
37Zadanie 1.
38Zadanie 11.
38Zadanie 12.
38