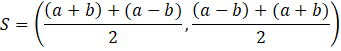
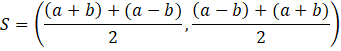
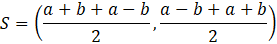
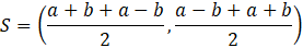
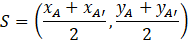
W tym zadaniu musisz wyznaczyć jakie współrzędne ma punkty będący środkiem symetrii, jeśli punktem symetrycznym do A = (a + b, a – b) w tej symetrii jest punkt A’ = (a – b, a + b).
Zauważ, że gdy punkty A i A’ połączysz odcinkiem, to środek tego odcinka jest dokładnie środkiem symetrii. Więc korzystając ze wzoru na współrzędne środka odcinka łączącego dwa punkty możesz wyliczyć współrzędne tego punktu (który oznacz jako S). Litery we współrzędnych oznaczają pewne liczby, które mogą być dowolnie ustalone. Musisz je potraktować jakby to były zwykłe liczby.
Ćwiczenie B.
11Ćwiczenie C.
12Zadanie 1.
14Zadanie 2.
14Zadanie 6.
14Zadanie 9.
15Zadanie 10.
15Zadanie 12.
15Zadanie 13.
15Zadanie 14.
15Zadanie 16.
15Zadanie 17.
15Ćwiczenie A.
17Ćwiczenie B.
17Przykład 2.
19Zadanie 1.
20Zadanie 2.
20Zadanie 4.
20Zadanie 5.
20Zadanie 7.
20Zadanie 8.
20Zadanie 9.
21Zadanie 10.
21Zadanie 11.
21Zadanie 14.
21Zadanie 15.
21Zadanie 16.
21Zadanie 17.
22Zadanie 1.
26Zadanie 3.
26Zadanie 4.
27Zadanie 6.
27Zadanie 7.
27Zadanie 8.
27Zadanie 9.
27Zadanie 12.
27Ćwiczenie B.
29Zadanie 1.
30Zadanie 3.
30Zadanie 4.
30Zadanie 5.
30Zadanie 6.
30Zadanie 8.
31Zadanie 10.
31Zadanie 11.
31Zadanie 1.
35Zadanie 2.
35Zadanie 4.
36Zadanie 5.
36Zadanie 6.
36Zadanie 7.
36Zadanie 8.
36Zadanie 11.
36Zadanie 12.
36Zadanie 14.
37Zadanie 1.
38Zadanie 11.
38Zadanie 12.
38