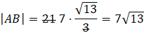
W tym zadaniu musisz wyliczyć jak długi jest bok AB trójkąta ABC, jeśli wiadomo, że punkty A oraz B należą do prostej zadanej równaniem -3x + 2y – 1 = 0, wierzchołek C ma współrzędne (-3, -1), zaś pole tego trójkąta to 21.
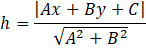
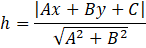
Wysokość opuszczona na bok AB z wierzchołka C to odległość punktu C od prostej na której leżą punkty A oraz B.
Gdzie A, B i C to kolejne współczynniki w równaniu prostej w postaci ogólnej, zaś x i y to współrzędne punktu, w tym przypadku C.
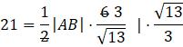
Pole tego trójkąta zadane jest wzorem:
Znając pole trójkąta oraz długość wysokości opuszczonej na ten bok, możesz obliczyć długość tego boku. Z kolei długość wysokości to po prostu odległość punkt, z którego wysokość jest opuszczona do bok na który wysokość jest opuszczona.
W tym przypadku będzie to odległość punktu C od prostej na której leżą punkty A oraz B. Odległość tą możesz obliczyć ze wzoru:
Gdzie A, B i C to kolejne współczynniki w równaniu prostej w postaci ogólnej, zaś x i y to współrzędne punktu, w tym przypadku C.
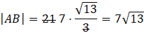
Współczynniki potrzebne we wzorze, dla podanej prostej mają wartości: A = -3, B = 2 oraz C = -1. Podstawiając je oraz współrzędne punktu C otrzymasz:
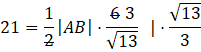
Pole tego trójkąta zadane jest wzorem:
Podstawiając znane wartości otrzymasz (za h podstaw wartość z pierwiastkiem w mianowniku, gdyż i tak będziesz musiał przenosić h na drugą stronę):
Ćwiczenie B.
11Ćwiczenie C.
12Zadanie 1.
14Zadanie 2.
14Zadanie 6.
14Zadanie 9.
15Zadanie 10.
15Zadanie 12.
15Zadanie 13.
15Zadanie 14.
15Zadanie 16.
15Zadanie 17.
15Ćwiczenie A.
17Ćwiczenie B.
17Przykład 2.
19Zadanie 1.
20Zadanie 2.
20Zadanie 4.
20Zadanie 5.
20Zadanie 7.
20Zadanie 8.
20Zadanie 9.
21Zadanie 10.
21Zadanie 11.
21Zadanie 14.
21Zadanie 15.
21Zadanie 16.
21Zadanie 17.
22Zadanie 1.
26Zadanie 3.
26Zadanie 4.
27Zadanie 6.
27Zadanie 7.
27Zadanie 8.
27Zadanie 9.
27Zadanie 12.
27Ćwiczenie B.
29Zadanie 1.
30Zadanie 3.
30Zadanie 4.
30Zadanie 5.
30Zadanie 6.
30Zadanie 8.
31Zadanie 10.
31Zadanie 11.
31Zadanie 1.
35Zadanie 2.
35Zadanie 4.
36Zadanie 5.
36Zadanie 6.
36Zadanie 7.
36Zadanie 8.
36Zadanie 11.
36Zadanie 12.
36Zadanie 14.
37Zadanie 1.
38Zadanie 11.
38Zadanie 12.
38