W tym zadaniu musisz określić czy w mniejszej odległości od prostej zadanej równaniem
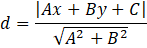
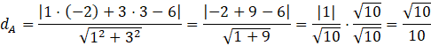
Odległość punktu A = (-2, 5) od prostej:
Odległość punktu B = (8, -4) od prostej:
Oczywiście:
Więc:
Czyli punkt A leży bliżej rozważanej prostej.
W tym zadaniu musisz po prostu obliczyć odległości podanych punktów do prostej.
Wzór na odległość punktu od prostej ma postać:
Gdzie A, B i C to kolejne współczynniki w równaniu prostej w postaci ogólnej, zaś x i y to współrzędne punkt, do którego liczysz odległość. Zauważ, że podana prosta jest w postaci kierunkowej, więc musisz równanie podanej prostej zapisać w postaci ogólnej.
Spójrz, jak wygląda postać ogólna równania prostej. Po jednej stronie równania jest 0, zaś po drugie wyrażenia z x, y oraz wyraz wolny. Więc aby sprowadzić podane równania do postaci ogólnej musisz przenieść wszystkie składniki na jedną stronę. Dobrze jest także pozbyć się ewentualnych ułamków, przez przemnożenie obu stron przez ich mianowniki.
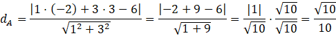
Oczywiście współczynniki dla tej prostej mają wartości: A = 1, B = 3, C = -6.
Odległość punktu A = (-2, 5) od prostej:
Oczywiście ponieważ w mianowniku pojawia się pierwiastek, to musisz usunąć niewymierność przez przemnożenie licznika i mianownika przez ten pierwiastek.
Odległość punktu B = (8, -4) od prostej:
Oczywiście:
Więc:
Czyli punkt A leży bliżej rozważanej prostej.
Ćwiczenie B.
11Ćwiczenie C.
12Zadanie 1.
14Zadanie 2.
14Zadanie 6.
14Zadanie 9.
15Zadanie 10.
15Zadanie 12.
15Zadanie 13.
15Zadanie 14.
15Zadanie 16.
15Zadanie 17.
15Ćwiczenie A.
17Ćwiczenie B.
17Przykład 2.
19Zadanie 1.
20Zadanie 2.
20Zadanie 4.
20Zadanie 5.
20Zadanie 7.
20Zadanie 8.
20Zadanie 9.
21Zadanie 10.
21Zadanie 11.
21Zadanie 14.
21Zadanie 15.
21Zadanie 16.
21Zadanie 17.
22Zadanie 1.
26Zadanie 3.
26Zadanie 4.
27Zadanie 6.
27Zadanie 7.
27Zadanie 8.
27Zadanie 9.
27Zadanie 12.
27Ćwiczenie B.
29Zadanie 1.
30Zadanie 3.
30Zadanie 4.
30Zadanie 5.
30Zadanie 6.
30Zadanie 8.
31Zadanie 10.
31Zadanie 11.
31Zadanie 1.
35Zadanie 2.
35Zadanie 4.
36Zadanie 5.
36Zadanie 6.
36Zadanie 7.
36Zadanie 8.
36Zadanie 11.
36Zadanie 12.
36Zadanie 14.
37Zadanie 1.
38Zadanie 11.
38Zadanie 12.
38