W tym zadaniu musisz wyznaczyć równanie okręgu wpisanego w trójkąt przedstawiony na ilustracji obok, wiedząc, że trójkąt ten jest prostokątny i równoramienny.
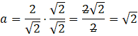
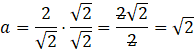
Okrąg jest okręgiem wpisany w narysowany trójkąt, gdyż jest styczny do każdego boku tego trójkąta. Ponieważ jest to trójkąt prostokątny, to promień szukanego okręgu wyraża się wzorem:
Gdzie a i b to długości przyprostokątnych, a c to długość przeciwprostokątnej.
Skoro trójkąt ten jest równoramienny, to długości jego przyprostokątnych są równe, czyli a = b.
Oś OY układu współrzędnych jest osią symetrii tego trójkąta (gdyż pokrywa się z wysokością opuszczoną na przeciwprostokątną, która w przypadku trójkąta równoramiennego dzieli ją na dwie, równe części), więc długość całej przyprostokątnej to dwukrotność długości odcinka między przecięciem tej osi z przeciwprostokątną, a wierzchołkiem trójkąta.
Na podstawie rysunku można stwierdzić, że połowa przeciwprostokątnej ma długość 1, czyli cała przeciwprostokątna ma długość 2.
Środek szukanego okręgu leży na osi symetrii tego trójkąta, czyli osi OY. Wobec czego równanie tego okręgu przedstawia się następująco:
Gdzie yS to współrzędna y środka szukanego okręgu.
Punkt (0, 0) należy do tego okręgu.
Więc równanie szukanego okręgu to:
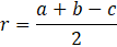
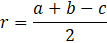
Aby zapisać równanie szukanego okręgu musisz znać jego promień oraz współrzędne środka okręgu. Ponieważ okrąg ten jest wpisany w ten trójkąt (gdyż jest jednocześnie styczny do wszystkich jego boków), to jego promień możesz wyliczyć ze wzoru na długość promienia okręgu wpisanego w trójkąt prostokątny:
Gdzie a i b to długości przyprostokątnych, a c to długość przeciwprostokątnej.
Skoro trójkąt ten jest równoramienny, to długości jego przyprostokątnych są równe, czyli a = b.
Zapisując twierdzenie Pitagorasa dla tego trójkąta otrzymasz:
Oś OY układu współrzędnych jest osią symetrii tego trójkąta (gdyż pokrywa się z wysokością opuszczoną na przeciwprostokątną, która w przypadku trójkąta równoramiennego dzieli ją na dwie, równe części), więc długość całej przyprostokątnej to dwukrotność długości odcinka między przecięciem tej osi z przeciwprostokątną, a wierzchołkiem trójkąta.
Punkt przecięcia się osi OY z przeciwprostokątną, jak można odczytać z rysunku, to (0, 0), zaś jeden z wierzchołków tego trójkąta to (1, 0), co oznacza, że ten odcinek ma długość wynoszącą 1. Więc cała przeciwprostokątna tego trójkąta ma długość 2.
Podstawiając otrzymaną wartość do zależności między długością przyprostokątnej a przeciwprostokątnej otrzymasz długość pozostałych boków.
Oczywiście ponieważ, w mianowniku pojawił się pierwiastek, to musisz usunąć niewymierność z mianownika poprzez przemnożenie licznika i mianownika przez ten pierwiastek.
Mając długości wszystkich boków, możesz podstawić je do wzoru na promień okręgu wpisanego i wyliczyć go:
Zauważ, że okrąg, którego równania szukasz jest przedzielony osią symetrii dokładnie na dwie równe części. Więc jego środek leży na tej osi, czyli osi OY. Oznacza to, że pierwsza współrzędna środka tego okręgu wynosi 0. Wobec czego równanie tego okręgu przedstawia się następująco:
(Ze względu na kolizję oznaczeń druga współrzędna środka okręgu będzie tu nazywana jako yS)
Zauważ, że punkt (0, 0) jest punktem, który należy do tego okręgu, więc podstawiając jego współrzędne do równania okręgu, za x oraz y otrzymasz prawdziwą zależność.
Pierwiastek z kwadratu pewnej liczby to wartość bezwzględna tej liczby. Promień tego okręgu jest oczywiście dodani, więc możesz pominąć wartość bezwzględną tej liczby. Z kolei na podstawie rysunku możesz stwierdzić, że yS także jest dodatni (środek okręgu jest nad osią OX), więc minus przy yS zamieni się na plus. Ostatecznie otrzymasz:
Więc równanie szukanego okręgu to:
Ćwiczenie B.
11Ćwiczenie C.
12Zadanie 1.
14Zadanie 2.
14Zadanie 6.
14Zadanie 9.
15Zadanie 10.
15Zadanie 12.
15Zadanie 13.
15Zadanie 14.
15Zadanie 16.
15Zadanie 17.
15Ćwiczenie A.
17Ćwiczenie B.
17Przykład 2.
19Zadanie 1.
20Zadanie 2.
20Zadanie 4.
20Zadanie 5.
20Zadanie 7.
20Zadanie 8.
20Zadanie 9.
21Zadanie 10.
21Zadanie 11.
21Zadanie 14.
21Zadanie 15.
21Zadanie 16.
21Zadanie 17.
22Zadanie 1.
26Zadanie 3.
26Zadanie 4.
27Zadanie 6.
27Zadanie 7.
27Zadanie 8.
27Zadanie 9.
27Zadanie 12.
27Ćwiczenie B.
29Zadanie 1.
30Zadanie 3.
30Zadanie 4.
30Zadanie 5.
30Zadanie 6.
30Zadanie 8.
31Zadanie 10.
31Zadanie 11.
31Zadanie 1.
35Zadanie 2.
35Zadanie 4.
36Zadanie 5.
36Zadanie 6.
36Zadanie 7.
36Zadanie 8.
36Zadanie 11.
36Zadanie 12.
36Zadanie 14.
37Zadanie 1.
38Zadanie 11.
38Zadanie 12.
38