Uzasadnienie tego, że rozważany trójkąt jest prostokątny:
Więc proste y = 2x + 4 oraz x + 2y – 3 = 0 są prostopadłe. Oznacza to, że trójkąt ograniczony przez te proste jest prostokątny, a przyprostokątne tego trójkąta są zawarte w tych prostych.
Uzasadnienie tego, że rozważany trójkąt jest równoramienny:
Punkt przecięcia prostych y = 2x + 4 oraz x + 2y – 3 = 0 (punkt A)
Punkt przecięcia prostych y = 2x + 4 oraz y = -3x – 6 (punkt B)
Punkt przecięcia prostych y = -3x – 6 oraz x + 2y – 3 = 0 (punkt C)
Przyprostokątne tego trójkąta to odcinki AB oraz AC
Więc trójkąt ten jest równoramienny.
Wyznaczenie osi symetrii rozważanego trójkąta:
Oś symetrii trójkąta równoramiennego, to prosta przechodząca przez wierzchołek między dwoma ramionami oraz środek podstawy. W tym przypadku będzie to prosta przechodząca przez punkt A oraz środek odcinka BC
Więc oś symetrii rozważanego trójkąta ma równanie:
Aby udowodnić, że ten trójkąt jest prostokątny musisz pokazać, że dwie z podanych prostych są do siebie prostopadłe. Aby łatwo sprawdzić prostopadłość prostych, warto by wszystkie z nich były w postaci ogólnej. Zauważ, że dwie pierwsze proste są w postaci kierunkowej, ale ostatnia prosta jest w postaci ogólnej. Więc musisz równanie tej prostej zapisać w postaci kierunkowej.
Spójrz, jak wygląda postać kierunkowa równania prostej. Po jednej stronie równania jest zawsze y, zaś po drugiej wyrażenie z x i wyraz wolny. Oczywiście współczynnik stojący przy x może wynosić 0, wtedy nie zapisuje się go i po drugiej stronie stoi jedynie wyraz wolny. Więc aby zapisać równanie w postaci kierunkowej musisz przenieść y na jedną stronę tak by był jedynym wyrażeniem z tej strony, a następnie ewentualnie pozbyć się liczby stojącej przy y.
Zwróć uwagę, że współczynniki kierunkowe pierwszej i trzeciej prostej spełniają warunek na prostopadłość prostych.
Więc proste y = 2x + 4 oraz x + 2y – 3 = 0 są prostopadłe. Oznacza to, że trójkąt ograniczony przez te proste jest prostokątny, a przyprostokątne tego trójkąta są zawarte w tych prostych.
Aby pokazać, że trójkąt ten jest równoramienny musisz policzyć długości przyprostokątnych tego trójkąta. Długości te, to odległości między odpowiednimi punktami przecięć tego trójkąta, więc musisz wyznaczyć współrzędne wierzchołków tego trójkąta, czyli punkty przecięć prostych które wyznaczają ten trójkąt.
Aby wyznaczyć punkt przecięcia się dwóch prostych musisz przyrównać równania tych prostych do siebie (gdyż w punkcie przecięcia wartości równań prostych mają tę samą wartość). Otrzymasz z tego x dla którego proste się przecinają. Aby wyznaczyć y, wystarczy, że podstawisz otrzymanego x do któregokolwiek równania prostej.
Punkt przecięcia prostych y = 2x + 4 oraz x + 2y – 3 = 0 (punkt A)
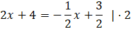
Przemnóż obie strony przez 2, aby pozbyć się ułamków.
Punkt przecięcia prostych y = 2x + 4 oraz y = -3x – 6 (punkt B)
Punkt przecięcia prostych y = -3x – 6 oraz x + 2y – 3 = 0 (punkt C)
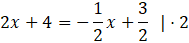
Przemnóż obie strony przez 2, aby pozbyć się ułamków.
Przyprostokątne tego trójkąta to odcinki AB oraz AC
Więc trójkąt ten jest równoramienny.
Oś symetrii trójkąta równoramiennego, to prosta przechodząca przez wierzchołek między dwoma ramionami oraz środek podstawy. W tym przypadku będzie to prosta przechodząca przez punkt A oraz środek odcinka BC
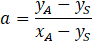
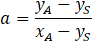
Współczynnik kierunkowy prostej przechodzącej przez te dwa punkty obliczysz ze wzoru:
Skoro punkt A = (-1, 2) należy do tej prostej, to podstawiając współrzędne do równania szukanej prostej otrzymasz prawdziwą zależność:
Więc oś symetrii rozważanego trójkąta ma równanie: