W tym zadaniu musisz określić którego z podanych punktów odległość od prostej 3x – 4y + 6 = 0 jest największa.
Dla punktu (0, 7)
Dla punktu (-1, 5)
Dla punktu (-6, 0)
Dla punktu (-3, -4)
Więc najbardziej odległy jest punkt (0, 7).
Odp.: A. (0, 7).
Aby określić który z podanych punktów znajduje się najdalej od podanej prostej, musisz po prostu obliczyć odległości każdego z punktów od prostej i je porównać ze sobą.
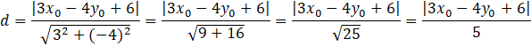
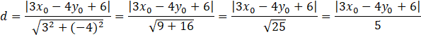
Ponieważ, będziesz wykonywał te same obliczenia 4 razy, to warto szybciej obliczyć te wyrażenia, które będą cały czas te same. Oblicz po prostu odległość dowolnego punktu od prostej podanej w treści.
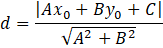
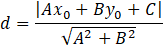
Aby to zrobić skorzystaj ze wzoru na odległość punktu o współrzędnych (x0, y0) od prostej o równaniu Ax + By + C = 0. Wzór ten to:
Odczytaj wartości współczynników A, B i C z równania w postaci ogólnej podanej prostej i podstaw do wzoru.
Teraz wystarczy podstawić współrzędne poszczególnych punktów.
Dla punktu (0, 7)
Dla punktu (-1, 5)
Dla punktu (-6, 0)
Dla punktu (-3, -4)
Więc najbardziej odległy jest punkt (0, 7).
Ćwiczenie B.
11Ćwiczenie C.
12Zadanie 1.
14Zadanie 2.
14Zadanie 6.
14Zadanie 9.
15Zadanie 10.
15Zadanie 12.
15Zadanie 13.
15Zadanie 14.
15Zadanie 16.
15Zadanie 17.
15Ćwiczenie A.
17Ćwiczenie B.
17Przykład 2.
19Zadanie 1.
20Zadanie 2.
20Zadanie 4.
20Zadanie 5.
20Zadanie 7.
20Zadanie 8.
20Zadanie 9.
21Zadanie 10.
21Zadanie 11.
21Zadanie 14.
21Zadanie 15.
21Zadanie 16.
21Zadanie 17.
22Zadanie 1.
26Zadanie 3.
26Zadanie 4.
27Zadanie 6.
27Zadanie 7.
27Zadanie 8.
27Zadanie 9.
27Zadanie 12.
27Ćwiczenie B.
29Zadanie 1.
30Zadanie 3.
30Zadanie 4.
30Zadanie 5.
30Zadanie 6.
30Zadanie 8.
31Zadanie 10.
31Zadanie 11.
31Zadanie 1.
35Zadanie 2.
35Zadanie 4.
36Zadanie 5.
36Zadanie 6.
36Zadanie 7.
36Zadanie 8.
36Zadanie 11.
36Zadanie 12.
36Zadanie 14.
37Zadanie 1.
38Zadanie 11.
38Zadanie 12.
38