W tym zadaniu musisz wykazać, że prosta l zadana równaniem
Dwie proste są do siebie równoległe, gdy ich współczynniki kierunkowe są takie same.
Współczynnik kierunkowy prostej l:
Współczynnik kierunkowy prostej k:
Oba współczynniki kierunkowe są sobie równe, więc proste te są do siebie równoległe.
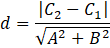
Aby obliczyć odległość prostych równoległych od siebie, skorzystaj ze wzoru:
Wzór jest dla prostych zadanych równaniami Ax + By + C1 = 0 oraz Ax + By + C2 = 0. Są to postacie ogólne tych prostych. Potrzebujesz więc zamienić podane w postaciach kierunkowy równania na postacie kierunkowe.
Spójrz, jak wygląda postać ogólna równania prostej. Po jednej stronie równania jest 0, zaś po drugie wyrażenia z x, y oraz wyraz wolny. Więc aby sprowadzić podane równania do postaci ogólnej musisz przenieść wszystkie składniki na jedną stronę. Dobrze jest także pozbyć się ewentualnych ułamków, przez przemnożenie obu stron przez ich mianowniki.
Podobnie postępujesz dla prostej k.
Teraz wystarczy, że odczytasz poszczególne współczynniki z obu równań, i podstawisz je do wzoru. A wynosi -2, B wynosi 5, C1 = -15, zaś C2 = 10.
Oczywiście, ponieważ w mianowniku pojawił się pierwiastek, musisz usunąć niewymierność z mianownika, przez przemnożenie zarówno licznika jak i mianownika przez ten pierwiastek.
Ćwiczenie B.
11Ćwiczenie C.
12Zadanie 1.
14Zadanie 2.
14Zadanie 6.
14Zadanie 9.
15Zadanie 10.
15Zadanie 12.
15Zadanie 13.
15Zadanie 14.
15Zadanie 16.
15Zadanie 17.
15Ćwiczenie A.
17Ćwiczenie B.
17Przykład 2.
19Zadanie 1.
20Zadanie 2.
20Zadanie 4.
20Zadanie 5.
20Zadanie 7.
20Zadanie 8.
20Zadanie 9.
21Zadanie 10.
21Zadanie 11.
21Zadanie 14.
21Zadanie 15.
21Zadanie 16.
21Zadanie 17.
22Zadanie 1.
26Zadanie 3.
26Zadanie 4.
27Zadanie 6.
27Zadanie 7.
27Zadanie 8.
27Zadanie 9.
27Zadanie 12.
27Ćwiczenie B.
29Zadanie 1.
30Zadanie 3.
30Zadanie 4.
30Zadanie 5.
30Zadanie 6.
30Zadanie 8.
31Zadanie 10.
31Zadanie 11.
31Zadanie 1.
35Zadanie 2.
35Zadanie 4.
36Zadanie 5.
36Zadanie 6.
36Zadanie 7.
36Zadanie 8.
36Zadanie 11.
36Zadanie 12.
36Zadanie 14.
37Zadanie 1.
38Zadanie 11.
38Zadanie 12.
38