W tym zadaniu musisz wyznaczyć współrzędne punktu, którego odległość od punktu A = (-1,2) i B = (5,8) jest taka sama oraz punkt ten znajduje się prostej o równaniu y = x.
C – leży na prostej o równaniu y = x, więc:
Skoro odległości punktu C od punktów A i B są takie same, to |AC|=|BC|, a skoro tak, to |AC|2 = |BC|2.
Oznacz ten punkt jako C. Zauważ, że punkt ten leży na prostej o równaniu y = x, więc możesz zapisać współrzędne tego punktu jako:
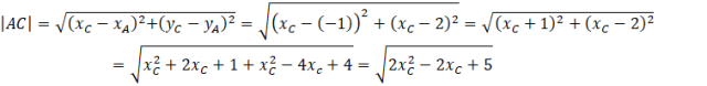
Wyznacz odległość między punktami A oraz C:
Wyznacz odległość między punktami B oraz C:
Skoro odległości punktu C od punktów A i B są takie same, to |AC|=|BC|, a skoro tak, to |AC|2 = |BC|2.
Ćwiczenie B.
11Ćwiczenie C.
12Zadanie 1.
14Zadanie 2.
14Zadanie 6.
14Zadanie 9.
15Zadanie 10.
15Zadanie 12.
15Zadanie 13.
15Zadanie 14.
15Zadanie 16.
15Zadanie 17.
15Ćwiczenie A.
17Ćwiczenie B.
17Przykład 2.
19Zadanie 1.
20Zadanie 2.
20Zadanie 4.
20Zadanie 5.
20Zadanie 7.
20Zadanie 8.
20Zadanie 9.
21Zadanie 10.
21Zadanie 11.
21Zadanie 14.
21Zadanie 15.
21Zadanie 16.
21Zadanie 17.
22Zadanie 1.
26Zadanie 3.
26Zadanie 4.
27Zadanie 6.
27Zadanie 7.
27Zadanie 8.
27Zadanie 9.
27Zadanie 12.
27Ćwiczenie B.
29Zadanie 1.
30Zadanie 3.
30Zadanie 4.
30Zadanie 5.
30Zadanie 6.
30Zadanie 8.
31Zadanie 10.
31Zadanie 11.
31Zadanie 1.
35Zadanie 2.
35Zadanie 4.
36Zadanie 5.
36Zadanie 6.
36Zadanie 7.
36Zadanie 8.
36Zadanie 11.
36Zadanie 12.
36Zadanie 14.
37Zadanie 1.
38Zadanie 11.
38Zadanie 12.
38