1 cm – 100 cm
100 cm = 1 m
1 cm – 1 m
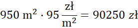
Odpowiedź: Cena działki to 90250 zł.
Na początek spójrz na skalę: 1 centymetr na planie odpowiada 100 centymetrom, czyli 1 metrowi w rzeczywistości. Oblicz pole działki, mnożąc jej bok przed wysokość, która na niego pada. Na koniec pomnóż powierzchnię działki przez cenę za metr kwadratowy.