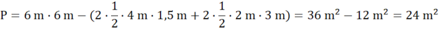
Odpowiedź: Pole pięciokąta wynosi 24 m2.
Na początek oblicz pole kwadratu. Zauważ dwa trójkąty na górze i dwa na dole są identyczne. Odejmij od pola kwadratu pola czterech trójkątów. Pamiętaj: pole trójkąta prostokątnego to połowa iloczynu jego przyprostokątnych.