W tym zadaniu musisz obliczyć pole trójkąta prostokątnego, znając długości jego przyprostokątnych.
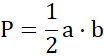
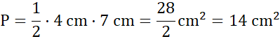
Pamiętaj, pole trójkąta przyprostokątnego to połowa iloczynu jego przyprostokątnych.
Zadanie 1
Podpunkt a)
Podpunkt b)
Podpunkt c)
Podpunkt d)
Zadanie 2
Zadanie 3
Zadanie 4
Zadanie 5
Zadanie 6
Zadanie 7
Zadanie Zadanie sprawdzające1
Zadanie Zadanie sprawdzające2
Ćwiczenie 1
Zadanie 7*
Ćwiczenie 2
Zadanie Zadanie sprawdzające2*
Zadanie 8
Zadanie 9
Zadanie 10
Zadanie 11
Zadanie 12
Zadanie Zadanie sprawdzające3
Zadanie Zadanie sprawdzające4
Zadanie 13
Zadanie 14
Zadanie 15
Zadanie 16
Zadanie 17
Zadanie 18
Zadanie 19