Korzystając z rysunku trapezu ABCD, stwierdź, ile jest równy obwód trójkąta AED:
A. 19
B. 22,5
C. 25
D. 25,5
Proste AD oraz BC są równoległe i są przecięte przez proste AE oraz DE, to oznacza, że mają odpowiadające sobie kąty.
Trójkąty AED oraz BCE są podobne.
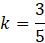
Oblicz skale podobieństwa k tych trójkątów:
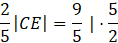
Oblicz długość boku CE:
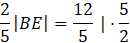
Oblicz długość boku BE:
Oblicz obwód AED:
Odpowiedź: B. 22,5.
Dzięki informacji, że ABCD jest trapezem, możesz zauważyć, że trójkąty ADE oraz BCE są podobne z cechy KK. Następnie oblicz skalę podobieństwa k i oblicz długości boków BE oraz CE, a na końcu oblicz obwód AED.
Zadanie 1.
116Zadanie 2.
116Zadanie 3.
117Zadanie 4.
117Zadanie 5.
117Zadanie 9.
118Zadanie 10.
118Zadanie 11.
119Zadanie 12.
119Ćwiczenie B.
121Zadanie 1.
122Zadanie 2.
122Zadanie 3.
122Zadanie 4.
123Zadanie 5.
123Zadanie 6.
123Zadanie 7.
123Zadanie 9.
123Zadanie 11.
124Zadanie 12.
125Zadanie 20.
127Zadanie 21.
127Ćwiczenie A.
128Ćwiczenie B.
129Zadanie 1.
130Zadanie 2.
131Zadanie 3.
131Zadanie 4.
131Zadanie 5.
131Zadanie 6.
132Zadanie 10.
132Zadanie 13.
132Zadanie 14.
133Zadanie 16.
133Zadanie 18.
134Zadanie 1.
135Zadanie 4.
136Zadanie 5.
136Zadanie 9.
137Zadanie 12.
138Ćwiczenie B.
140Zadanie 1.
141Zadanie 3.
141Zadanie 4.
141Zadanie 5.
141Zadanie 6.
142Zadanie 7.
142Zadanie 8.
142