Określ długość odcinków.
Oznacz wierzchołki jak na rysunku poniżej.
Za pomocą twierdzenia Pitagorasa oblicz długość AB:
Bok nie może być ujemny, więc odrzuć odpowiedź |AB| = -8.
Trójkąt CDF oraz ABC są podobne z cechy KK, ponieważ mają dwa takie same kąty.
Trójkąt ADE oraz ABC są podobne z cechy KK, ponieważ mają dwa takie same kąty.
Oblicz skalę podobieństwa k trójkątów CDF oraz ABC:
Oblicz długość boku z:
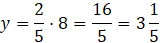
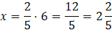
Oblicz skalę podobieństwa k trójkątów ADE oraz ABC:
Oblicz długość boku x:
Oblicz długość boku y:
Wykorzystaj także twierdzenie Pitagorasa do obliczenia długości boku AD. Zauważ, że trójkąty CDF oraz ADE mają dwa takie same kąty jak trójkąt ABC, więc są podobne z cechy KK. Następnie oblicz skalę podobieństwa i wykorzystaj ją do obliczenia x, y, z.
Zadanie 1.
116Zadanie 2.
116Zadanie 3.
117Zadanie 4.
117Zadanie 5.
117Zadanie 9.
118Zadanie 10.
118Zadanie 11.
119Zadanie 12.
119Ćwiczenie B.
121Zadanie 1.
122Zadanie 2.
122Zadanie 3.
122Zadanie 4.
123Zadanie 5.
123Zadanie 6.
123Zadanie 7.
123Zadanie 9.
123Zadanie 11.
124Zadanie 12.
125Zadanie 20.
127Zadanie 21.
127Ćwiczenie A.
128Ćwiczenie B.
129Zadanie 1.
130Zadanie 2.
131Zadanie 3.
131Zadanie 4.
131Zadanie 5.
131Zadanie 6.
132Zadanie 10.
132Zadanie 13.
132Zadanie 14.
133Zadanie 16.
133Zadanie 18.
134Zadanie 1.
135Zadanie 4.
136Zadanie 5.
136Zadanie 9.
137Zadanie 12.
138Ćwiczenie B.
140Zadanie 1.
141Zadanie 3.
141Zadanie 4.
141Zadanie 5.
141Zadanie 6.
142Zadanie 7.
142Zadanie 8.
142