Wiedząc o podobieństwie poniższych figur, znajdź długość a oraz wartości α oraz β.
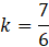
Oblicz skalę podobieństwa k:
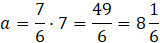
Oblicz bok „a” mnożąc odpowiadający jemu bok przez skalę podobieństwa:
Miarę kąta α oraz kąta β odczytaj z rysunku:
Wiedząc, że figury są podobne, możesz określić skalę ich podobieństwa i z jej pomocą obliczyć długość boku a. Pamiętaj, że boki odpowiadające sobie są naprzeciw takich samych kątów, więc odczytaj miary α oraz β z rysunku.
Zadanie 1.
116Zadanie 2.
116Zadanie 3.
117Zadanie 4.
117Zadanie 5.
117Zadanie 9.
118Zadanie 10.
118Zadanie 11.
119Zadanie 12.
119Ćwiczenie B.
121Zadanie 1.
122Zadanie 2.
122Zadanie 3.
122Zadanie 4.
123Zadanie 5.
123Zadanie 6.
123Zadanie 7.
123Zadanie 9.
123Zadanie 11.
124Zadanie 12.
125Zadanie 20.
127Zadanie 21.
127Ćwiczenie A.
128Ćwiczenie B.
129Zadanie 1.
130Zadanie 2.
131Zadanie 3.
131Zadanie 4.
131Zadanie 5.
131Zadanie 6.
132Zadanie 10.
132Zadanie 13.
132Zadanie 14.
133Zadanie 16.
133Zadanie 18.
134Zadanie 1.
135Zadanie 4.
136Zadanie 5.
136Zadanie 9.
137Zadanie 12.
138Ćwiczenie B.
140Zadanie 1.
141Zadanie 3.
141Zadanie 4.
141Zadanie 5.
141Zadanie 6.
142Zadanie 7.
142Zadanie 8.
142