Wiedząc, że Darek wydrukował zdjęcie w pewnych rozmiarach, a następnie wydłużył odcinki kolejnej kopii o 20%, oblicz, ile razy więcej materiału zostanie zużyte na stworzenie powiększenia w porównaniu do pierwszej kopii.
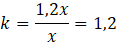
x – długość krótszego boku zdjęcia
y – długość dłuższego boku zdjęcia
1,2x – długość krótszego boku powiększonego zdjęcia
1,2y – długość dłuższego boku powiększonego zdjęcia
Oblicz skale podobieństwa k:
Oblicz skalę podobieństwa dla pola:
Odpowiedź: Potrzeba 1,44 razy więcej toneru.
Oblicz skalę podobieństwa, a następnie za jej pomocą określ, ile razy więcej powierzchni zajmuje powiększone zdjęcie.
Zadanie 1.
116Zadanie 2.
116Zadanie 3.
117Zadanie 4.
117Zadanie 5.
117Zadanie 9.
118Zadanie 10.
118Zadanie 11.
119Zadanie 12.
119Ćwiczenie B.
121Zadanie 1.
122Zadanie 2.
122Zadanie 3.
122Zadanie 4.
123Zadanie 5.
123Zadanie 6.
123Zadanie 7.
123Zadanie 9.
123Zadanie 11.
124Zadanie 12.
125Zadanie 20.
127Zadanie 21.
127Ćwiczenie A.
128Ćwiczenie B.
129Zadanie 1.
130Zadanie 2.
131Zadanie 3.
131Zadanie 4.
131Zadanie 5.
131Zadanie 6.
132Zadanie 10.
132Zadanie 13.
132Zadanie 14.
133Zadanie 16.
133Zadanie 18.
134Zadanie 1.
135Zadanie 4.
136Zadanie 5.
136Zadanie 9.
137Zadanie 12.
138Ćwiczenie B.
140Zadanie 1.
141Zadanie 3.
141Zadanie 4.
141Zadanie 5.
141Zadanie 6.
142Zadanie 7.
142Zadanie 8.
142