Wiedząc, że powierzchnia pewnego rombu wynosi 108 cm2 oraz romb o przekątnych 4 cm i 6 cm jest do niego podobny, wskaż długości przekątnych tego rombu.
A. 18 cm i 27 cm
B. 12 cm i 18 cm
C. 36 cm i 54 cm
D. 12 cm i 9 cm
Oblicz pole rombu:
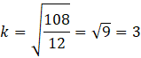
Oblicz skale podobieństwa k:
Oblicz długości boków rombu:
Poprawna odpowiedź to odpowiedź: B. 12 cm i 18 cm.
Oblicz pole rombu z podanych przekątnych, a następnie policz skalę podobieństwa i oblicz niewiadome przekątne.
Zadanie 1.
116Zadanie 2.
116Zadanie 3.
117Zadanie 4.
117Zadanie 5.
117Zadanie 9.
118Zadanie 10.
118Zadanie 11.
119Zadanie 12.
119Ćwiczenie B.
121Zadanie 1.
122Zadanie 2.
122Zadanie 3.
122Zadanie 4.
123Zadanie 5.
123Zadanie 6.
123Zadanie 7.
123Zadanie 9.
123Zadanie 11.
124Zadanie 12.
125Zadanie 20.
127Zadanie 21.
127Ćwiczenie A.
128Ćwiczenie B.
129Zadanie 1.
130Zadanie 2.
131Zadanie 3.
131Zadanie 4.
131Zadanie 5.
131Zadanie 6.
132Zadanie 10.
132Zadanie 13.
132Zadanie 14.
133Zadanie 16.
133Zadanie 18.
134Zadanie 1.
135Zadanie 4.
136Zadanie 5.
136Zadanie 9.
137Zadanie 12.
138Ćwiczenie B.
140Zadanie 1.
141Zadanie 3.
141Zadanie 4.
141Zadanie 5.
141Zadanie 6.
142Zadanie 7.
142Zadanie 8.
142