W pewnym czworokącie zaznaczono środki boków, wykaż, że figura, powstała z połączenia tych punktów, jest równoległobokiem.
Stwórz rysunek pomocniczy i zaznacz na nim wierzchołki czworokąta, jak i czworokąta utworzonego z odcinków łączących środki. Przerywaną linią zaznacz przekątne.
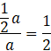
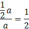
a – długość boku AB.
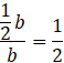
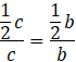
b – długość boku BC.
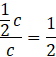
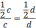
c – długość boku CD.
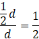
d – długość boku AD.
Z treści zadania wiesz, że boki podzielone są na pół. Zaznaczając przekątne, widzisz, że utworzyły one kąty, stąd też możesz użyć twierdzenia odwrotnego do twierdzenia Talesa.
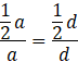
Dowód, że odcinek LM jest równoległy do przekątnej AC:
Stąd:
Stąd wynika, że odcinek LM jest równoległy do przekątnej AC.
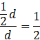
Dowód, że odcinek KN jest równoległy do przekątnej AC:
Stąd:
Stąd wynika, że odcinek KN jest równoległy do przekątnej AC.
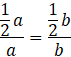
Dowód, że odcinek KL jest równoległy do przekątnej BD:
Stąd:
Stąd wynika, że odcinek KL jest równoległy do przekątnej BD.
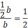
Dowód, że odcinek MN jest równoległy do przekątnej BD:
Stąd:
Stąd wynika, że odcinek MN jest równoległy do przekątnej BD.
Więc podsumowując:
|MN| ∥ |BD| oraz |KL| ∥ |BD| stąd |KL| ∥ |MN|
|KN| ∥ |AC| oraz |LM| ∥ |AC| stąd |KN| ∥ |LM|
Stąd wynika, że czworokąt KLMN jest równoległobokiem, co kończy dowód.
Czworokąt ABCD możesz podzielić przekątnymi, utworzysz w ten sposób kąty, na których możesz zastosować twierdzenie odwrotne do twierdzenia Talesa. Oblicz stosunki boków i poprowadź dowód do końca.
Zadanie 1.
116Zadanie 2.
116Zadanie 3.
117Zadanie 4.
117Zadanie 5.
117Zadanie 9.
118Zadanie 10.
118Zadanie 11.
119Zadanie 12.
119Ćwiczenie B.
121Zadanie 1.
122Zadanie 2.
122Zadanie 3.
122Zadanie 4.
123Zadanie 5.
123Zadanie 6.
123Zadanie 7.
123Zadanie 9.
123Zadanie 11.
124Zadanie 12.
125Zadanie 20.
127Zadanie 21.
127Ćwiczenie A.
128Ćwiczenie B.
129Zadanie 1.
130Zadanie 2.
131Zadanie 3.
131Zadanie 4.
131Zadanie 5.
131Zadanie 6.
132Zadanie 10.
132Zadanie 13.
132Zadanie 14.
133Zadanie 16.
133Zadanie 18.
134Zadanie 1.
135Zadanie 4.
136Zadanie 5.
136Zadanie 9.
137Zadanie 12.
138Ćwiczenie B.
140Zadanie 1.
141Zadanie 3.
141Zadanie 4.
141Zadanie 5.
141Zadanie 6.
142Zadanie 7.
142Zadanie 8.
142