Wiedząc, że wysokość, opuszczona na przeciwprostokątną trójkąta prostokątnego, dzieli ten bok na 3 cm i 12 cm, określ długość tej wysokości.
Obydwa mniejsze trójkąty są podobne do większego z cechy KK, więc też są względem siebie podobne.
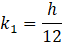
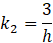
Oblicz stosunki odpowiadających sobie boków jednego z mniejszych trójkątów:
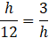
Pomnóż na krzyż:
Wysokość nie może być ujemna, więc pozostaje tylko jedna odpowiedź:
h = 6 cm
Zauważ, że trójkąty mają po dwa takie same kąty, a więc są podobne z cechy KK. Wiedząc, że są podobne, stwórz odpowiednią proporcję, a następnie oblicz wysokość.
Zadanie 1.
116Zadanie 2.
116Zadanie 3.
117Zadanie 4.
117Zadanie 5.
117Zadanie 9.
118Zadanie 10.
118Zadanie 11.
119Zadanie 12.
119Ćwiczenie B.
121Zadanie 1.
122Zadanie 2.
122Zadanie 3.
122Zadanie 4.
123Zadanie 5.
123Zadanie 6.
123Zadanie 7.
123Zadanie 9.
123Zadanie 11.
124Zadanie 12.
125Zadanie 20.
127Zadanie 21.
127Ćwiczenie A.
128Ćwiczenie B.
129Zadanie 1.
130Zadanie 2.
131Zadanie 3.
131Zadanie 4.
131Zadanie 5.
131Zadanie 6.
132Zadanie 10.
132Zadanie 13.
132Zadanie 14.
133Zadanie 16.
133Zadanie 18.
134Zadanie 1.
135Zadanie 4.
136Zadanie 5.
136Zadanie 9.
137Zadanie 12.
138Ćwiczenie B.
140Zadanie 1.
141Zadanie 3.
141Zadanie 4.
141Zadanie 5.
141Zadanie 6.
142Zadanie 7.
142Zadanie 8.
142