Wykaż, że istnieje podobieństwo pomiędzy poniższymi trójkątami oraz określ niewiadome elementy proporcji:
Poniższe trójkąty mają po dwa takie same kąty, więc są podobne z cechy KK:
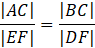
Proporcja
Proporcja
Zauważ, że trójkąty mają po dwa takie same kąty, stąd jesteś w stanie udowodnić ich podobieństwo, korzystając z cechy KK. Pamiętaj, że boki odpowiadające sobie leżą naprzeciwko tych samych kątów. Pierwszy pytajnik to bok naprzeciw nieoznaczonego kąta, drugi – nieoznaczonego kąta, trzeci – naprzeciw kąta 40°.
Zadanie 1.
116Zadanie 2.
116Zadanie 3.
117Zadanie 4.
117Zadanie 5.
117Zadanie 9.
118Zadanie 10.
118Zadanie 11.
119Zadanie 12.
119Ćwiczenie B.
121Zadanie 1.
122Zadanie 2.
122Zadanie 3.
122Zadanie 4.
123Zadanie 5.
123Zadanie 6.
123Zadanie 7.
123Zadanie 9.
123Zadanie 11.
124Zadanie 12.
125Zadanie 20.
127Zadanie 21.
127Ćwiczenie A.
128Ćwiczenie B.
129Zadanie 1.
130Zadanie 2.
131Zadanie 3.
131Zadanie 4.
131Zadanie 5.
131Zadanie 6.
132Zadanie 10.
132Zadanie 13.
132Zadanie 14.
133Zadanie 16.
133Zadanie 18.
134Zadanie 1.
135Zadanie 4.
136Zadanie 5.
136Zadanie 9.
137Zadanie 12.
138Ćwiczenie B.
140Zadanie 1.
141Zadanie 3.
141Zadanie 4.
141Zadanie 5.
141Zadanie 6.
142Zadanie 7.
142Zadanie 8.
142