Wiedząc, że skala podobieństwa pomiędzy figurą F1 oraz F2 wynosi 2, a pomiędzy figurą F2 oraz F3 - 7, określ skalę podobieństwa wielokąta F3 do F1.
x – długość boku wielokąta
y – długość boku wielokąta
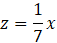
z – długość boku wielokąta
x, y, z – ten sam bok, tylko w innej skali.
Oblicz zależność y od x:
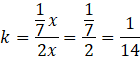
Oblicz zależność z od x:
Skala podobieństwa k pomiędzy figurami
Określ za pomocą niewiadomych długości boków. Wiedząc, że figury są podobne możesz obliczyć skalę podobieństwa figur F1 i F3 do figury F2. Uzależnisz w ten sposób boki od długości boku figury F2 co umożliwi obliczenie skali podobieństwa między figurami F3 i F1.
Zadanie 1.
116Zadanie 2.
116Zadanie 3.
117Zadanie 4.
117Zadanie 5.
117Zadanie 9.
118Zadanie 10.
118Zadanie 11.
119Zadanie 12.
119Ćwiczenie B.
121Zadanie 1.
122Zadanie 2.
122Zadanie 3.
122Zadanie 4.
123Zadanie 5.
123Zadanie 6.
123Zadanie 7.
123Zadanie 9.
123Zadanie 11.
124Zadanie 12.
125Zadanie 20.
127Zadanie 21.
127Ćwiczenie A.
128Ćwiczenie B.
129Zadanie 1.
130Zadanie 2.
131Zadanie 3.
131Zadanie 4.
131Zadanie 5.
131Zadanie 6.
132Zadanie 10.
132Zadanie 13.
132Zadanie 14.
133Zadanie 16.
133Zadanie 18.
134Zadanie 1.
135Zadanie 4.
136Zadanie 5.
136Zadanie 9.
137Zadanie 12.
138Ćwiczenie B.
140Zadanie 1.
141Zadanie 3.
141Zadanie 4.
141Zadanie 5.
141Zadanie 6.
142Zadanie 7.
142Zadanie 8.
142