Określ niewiadome elementy proporcji
Korzystając z twierdzenia Talesa, wyznacz równanie
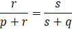
Korzystając z twierdzenia, Talesa wyznacz równanie
Wykorzystaj Twierdzenie Talesa do odnalezienia proporcji. Zauważ, że w pierwszej proporcji „r” to odcinek pomiędzy prostymi, dlatego po drugiej stronie równania musi znaleźć się to samo, a p + r to odcinek do drugiej prostej, dlatego należy pod drugi pytajnik umieścić s + q. Co do drugiej zależności to zauważ, że jest to iloraz odcinka do drugiej prostej z odcinkiem pomiędzy ramionami, dlatego należy wybrać odcinek do pierwszej prostej, czyli „q” oraz pierwszy odcinek między ramionami, czyli „u”.
Zadanie 1.
116Zadanie 2.
116Zadanie 3.
117Zadanie 4.
117Zadanie 5.
117Zadanie 9.
118Zadanie 10.
118Zadanie 11.
119Zadanie 12.
119Ćwiczenie B.
121Zadanie 1.
122Zadanie 2.
122Zadanie 3.
122Zadanie 4.
123Zadanie 5.
123Zadanie 6.
123Zadanie 7.
123Zadanie 9.
123Zadanie 11.
124Zadanie 12.
125Zadanie 20.
127Zadanie 21.
127Ćwiczenie A.
128Ćwiczenie B.
129Zadanie 1.
130Zadanie 2.
131Zadanie 3.
131Zadanie 4.
131Zadanie 5.
131Zadanie 6.
132Zadanie 10.
132Zadanie 13.
132Zadanie 14.
133Zadanie 16.
133Zadanie 18.
134Zadanie 1.
135Zadanie 4.
136Zadanie 5.
136Zadanie 9.
137Zadanie 12.
138Ćwiczenie B.
140Zadanie 1.
141Zadanie 3.
141Zadanie 4.
141Zadanie 5.
141Zadanie 6.
142Zadanie 7.
142Zadanie 8.
142