Wiedząc, że prostokąty ABCD oraz AEFC są podobne, przekątna AC jest bokiem prostokąta AEFC, część wspólna prostokątów jest równa 40% powierzchni prostokąta AEFC, oblicz stosunek długości boków prostokąta ABCD.
a – długość krótszego boku ABCD
b – długość dłuższego boku ABCD
c – długość przekątnej AC oraz boku prostokąta AEFC
Z treści zadania wiesz, że:
Oblicz pole prostokąta ABCD:
Skoro prostokąty te są podobne to oblicz skale podobieństwa k:
Oblicz długość przekątnej AC z twierdzenia Pitagorasa:
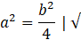
Zapisz inaczej długość boku AC:
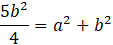
Stwórz równanie i wyznacz a:
Bok nie może być ujemny, a więc nie bierzesz pod uwagę opcji
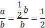
Oblicz stosunek boków a i b:
Odpowiedź: Stosunek boków prostokąta ABCD wynosi
Oblicz pole prostokąta AEFC, korzystając z tego, że jest ono równe 40% części wspólnej, następnie oblicz skalę podobieństwa oraz przekątną AC z twierdzenia Pitagorasa. Potem oblicz długość przekątnej AC korzystając ze skali podobieństwa. Następnie przyrównaj te dwa sposoby na obliczenie przekątnej AC i uzależnij długość jednego boku od drugiego. Oblicz stosunek tych boków.
Zadanie 1.
116Zadanie 2.
116Zadanie 3.
117Zadanie 4.
117Zadanie 5.
117Zadanie 9.
118Zadanie 10.
118Zadanie 11.
119Zadanie 12.
119Ćwiczenie B.
121Zadanie 1.
122Zadanie 2.
122Zadanie 3.
122Zadanie 4.
123Zadanie 5.
123Zadanie 6.
123Zadanie 7.
123Zadanie 9.
123Zadanie 11.
124Zadanie 12.
125Zadanie 20.
127Zadanie 21.
127Ćwiczenie A.
128Ćwiczenie B.
129Zadanie 1.
130Zadanie 2.
131Zadanie 3.
131Zadanie 4.
131Zadanie 5.
131Zadanie 6.
132Zadanie 10.
132Zadanie 13.
132Zadanie 14.
133Zadanie 16.
133Zadanie 18.
134Zadanie 1.
135Zadanie 4.
136Zadanie 5.
136Zadanie 9.
137Zadanie 12.
138Ćwiczenie B.
140Zadanie 1.
141Zadanie 3.
141Zadanie 4.
141Zadanie 5.
141Zadanie 6.
142Zadanie 7.
142Zadanie 8.
142