Wiedząc, że BE ∥ CD ∥ FG oraz |AE| = 12, |ED| = 8, |EB| = 6, |FG| = 2 i |BC| = 6, określ, która równość jest nieprawdziwa:
A. |AB| = 9
B. |CD| = 10
C. |AG| = 5
D. |AF| = 3
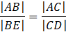
Sprawdź poprawność równania |AB| = 9 wykorzystując twierdzenie Talesa.
Jeśli |AB| = 9 to:
Więc:
To równanie jest poprawne.
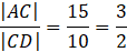
Sprawdź poprawność równania |CD| = 10 wykorzystując twierdzenie Talesa.
Jeśli |CD| = 10 to:
Więc:
To równanie jest poprawne.
Sprawdź poprawność równania |AG| = 5 wykorzystując twierdzenie Talesa.
Jeśli |AG| = 5 to:
Więc
To równanie nie jest poprawne.
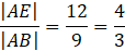
Sprawdź poprawność równania |AF| = 3 wykorzystując twierdzenie Talesa.
Jeśli |AF| = 3 to:
Więc:
To równanie jest poprawne.
Odpowiedź: C. |AG| = 5.
Wykorzystaj twierdzenie Talesa do utworzenia proporcji, następnie sprawdź poprawność odpowiedzi, podstawiając znane długości boków pod utworzone proporcje.
Zadanie 1.
116Zadanie 2.
116Zadanie 3.
117Zadanie 4.
117Zadanie 5.
117Zadanie 9.
118Zadanie 10.
118Zadanie 11.
119Zadanie 12.
119Ćwiczenie B.
121Zadanie 1.
122Zadanie 2.
122Zadanie 3.
122Zadanie 4.
123Zadanie 5.
123Zadanie 6.
123Zadanie 7.
123Zadanie 9.
123Zadanie 11.
124Zadanie 12.
125Zadanie 20.
127Zadanie 21.
127Ćwiczenie A.
128Ćwiczenie B.
129Zadanie 1.
130Zadanie 2.
131Zadanie 3.
131Zadanie 4.
131Zadanie 5.
131Zadanie 6.
132Zadanie 10.
132Zadanie 13.
132Zadanie 14.
133Zadanie 16.
133Zadanie 18.
134Zadanie 1.
135Zadanie 4.
136Zadanie 5.
136Zadanie 9.
137Zadanie 12.
138Ćwiczenie B.
140Zadanie 1.
141Zadanie 3.
141Zadanie 4.
141Zadanie 5.
141Zadanie 6.
142Zadanie 7.
142Zadanie 8.
142