Udowodnij, że istnieje podobieństwo pomiędzy trójkątami DCS i ABC oraz oblicz skalę ich podobieństwa.
Trójkąt
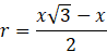
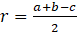
Skorzystaj ze wzoru na promień r:
Oblicz długość DC:
Trójkąty DCS oraz ABC mają kąt prosty.
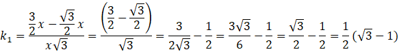
Oblicz stosunki odpowiadających sobie boków obok kąta prostego:
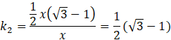
Trójkąty te są do siebie podobne z cechy BKB w skali
Zauważ, że trójkąt ABC jest trójkątem specjalnym 30°, 60°, 90°, wykorzystaj to do oznaczenia jego boków za pomocą niewiadomej x. Wykorzystaj to, że w ten trójkąt jest wpisany okrąg i użyj wzoru na promień okręgu wpisanego w trójkąt prostokątny
Zadanie 1.
116Zadanie 2.
116Zadanie 3.
117Zadanie 4.
117Zadanie 5.
117Zadanie 9.
118Zadanie 10.
118Zadanie 11.
119Zadanie 12.
119Ćwiczenie B.
121Zadanie 1.
122Zadanie 2.
122Zadanie 3.
122Zadanie 4.
123Zadanie 5.
123Zadanie 6.
123Zadanie 7.
123Zadanie 9.
123Zadanie 11.
124Zadanie 12.
125Zadanie 20.
127Zadanie 21.
127Ćwiczenie A.
128Ćwiczenie B.
129Zadanie 1.
130Zadanie 2.
131Zadanie 3.
131Zadanie 4.
131Zadanie 5.
131Zadanie 6.
132Zadanie 10.
132Zadanie 13.
132Zadanie 14.
133Zadanie 16.
133Zadanie 18.
134Zadanie 1.
135Zadanie 4.
136Zadanie 5.
136Zadanie 9.
137Zadanie 12.
138Ćwiczenie B.
140Zadanie 1.
141Zadanie 3.
141Zadanie 4.
141Zadanie 5.
141Zadanie 6.
142Zadanie 7.
142Zadanie 8.
142