Wiedząc, że podparcie, o wysokości 50 cm, znajduje się w połowie belki oraz długość belki jest niewiadoma, określ, jak wysoko nad ziemią znajdzie się koniec huśtawki, gdy drugi koniec będzie dotykać ziemi.
Stwórz rysunek pomocniczy.
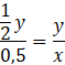
x – wysokość huśtawki na jednym końcu.
y – długość belki.
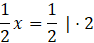
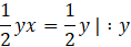
Korzystając z twierdzenia Talesa oblicz odpowiednie proporcje i rozwiąż równanie:
Pomnóż równanie na krzyż:
Wysokość nie jest zależna od długości belki.
Rozrysuj sytuację na trójkącie, aby ułatwić sobie odnalezienie proporcji. Nie znasz długości belki ani wysokości jej końca, więc są to niewiadome x i y. Wykorzystaj twierdzenie Talesa i stwórz dwa stosunki długości belki do wysokości i je przyrównaj. Rozwiąż równanie.
Zadanie 1.
116Zadanie 2.
116Zadanie 3.
117Zadanie 4.
117Zadanie 5.
117Zadanie 9.
118Zadanie 10.
118Zadanie 11.
119Zadanie 12.
119Ćwiczenie B.
121Zadanie 1.
122Zadanie 2.
122Zadanie 3.
122Zadanie 4.
123Zadanie 5.
123Zadanie 6.
123Zadanie 7.
123Zadanie 9.
123Zadanie 11.
124Zadanie 12.
125Zadanie 20.
127Zadanie 21.
127Ćwiczenie A.
128Ćwiczenie B.
129Zadanie 1.
130Zadanie 2.
131Zadanie 3.
131Zadanie 4.
131Zadanie 5.
131Zadanie 6.
132Zadanie 10.
132Zadanie 13.
132Zadanie 14.
133Zadanie 16.
133Zadanie 18.
134Zadanie 1.
135Zadanie 4.
136Zadanie 5.
136Zadanie 9.
137Zadanie 12.
138Ćwiczenie B.
140Zadanie 1.
141Zadanie 3.
141Zadanie 4.
141Zadanie 5.
141Zadanie 6.
142Zadanie 7.
142Zadanie 8.
142