Naszkicuj prostokąt i wydziel w nim pięć podobnych trójkątów.
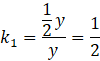
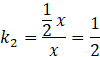
Wszystkie trójkąty na rysunku mają jeden kąt prosty. Skala podobieństwa k ich boków przy kącie prostym wynosi:
Wszystkie te trójkąty są podobne z cechy BKB.
Podziel prostokąt na dwa podobne trójkąty, a następnie w jednym z trójkątów narysuj prostokąt z bokami równymi połowie długości oryginalnego prostokąta i podziel go przekątną. Wszystkie te trójkąty są podobne z cechy BKB.
Zadanie 1.
116Zadanie 2.
116Zadanie 3.
117Zadanie 4.
117Zadanie 5.
117Zadanie 9.
118Zadanie 10.
118Zadanie 11.
119Zadanie 12.
119Ćwiczenie B.
121Zadanie 1.
122Zadanie 2.
122Zadanie 3.
122Zadanie 4.
123Zadanie 5.
123Zadanie 6.
123Zadanie 7.
123Zadanie 9.
123Zadanie 11.
124Zadanie 12.
125Zadanie 20.
127Zadanie 21.
127Ćwiczenie A.
128Ćwiczenie B.
129Zadanie 1.
130Zadanie 2.
131Zadanie 3.
131Zadanie 4.
131Zadanie 5.
131Zadanie 6.
132Zadanie 10.
132Zadanie 13.
132Zadanie 14.
133Zadanie 16.
133Zadanie 18.
134Zadanie 1.
135Zadanie 4.
136Zadanie 5.
136Zadanie 9.
137Zadanie 12.
138Ćwiczenie B.
140Zadanie 1.
141Zadanie 3.
141Zadanie 4.
141Zadanie 5.
141Zadanie 6.
142Zadanie 7.
142Zadanie 8.
142