Wiedząc, że punkty B, C i D są na jednej linii, udowodnij, że średnia geometryczna pól P1 i P2 trójkątów ABC i ECD jest równa polu P trójkąta ACE.
Wiesz, że:
Stąd:
Czyli:
Trójkąty ABC oraz ECD są podobne do siebie z cechy KK.
Zapisz podane pola, korzystając ze wzoru na pole trójkąta z użyciem sinusa kąta:
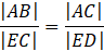
Skorzystaj z tego, że trójkąty ABC oraz ECD są podobne i zapisz odpowiednie równanie wynikające ze stosunków boków:
Przemnóż na krzyż i wyznacz |ED|:
Podstaw do pola P2 wyznaczone |ED|:
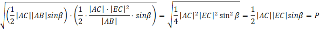
Policz prawą stronę równania:
Oblicz:
Lewa strona równania jest równa prawej. Co kończy dowód.
Zauważ, że możesz wyznaczyć miarę kąta ACE, dzięki temu możesz wyznaczyć pola wszystkich trójkątów, korzystając ze wzoru używającego sinusa kąta. Następnie musisz utworzyć równanie z dwóch proporcji zawierających długości boków użytych do wyliczenia pól trójkątów. Potem wyznaczasz jeden z boków występujących w polach P1 bądź P2
Zadanie 1.
116Zadanie 2.
116Zadanie 3.
117Zadanie 4.
117Zadanie 5.
117Zadanie 9.
118Zadanie 10.
118Zadanie 11.
119Zadanie 12.
119Ćwiczenie B.
121Zadanie 1.
122Zadanie 2.
122Zadanie 3.
122Zadanie 4.
123Zadanie 5.
123Zadanie 6.
123Zadanie 7.
123Zadanie 9.
123Zadanie 11.
124Zadanie 12.
125Zadanie 20.
127Zadanie 21.
127Ćwiczenie A.
128Ćwiczenie B.
129Zadanie 1.
130Zadanie 2.
131Zadanie 3.
131Zadanie 4.
131Zadanie 5.
131Zadanie 6.
132Zadanie 10.
132Zadanie 13.
132Zadanie 14.
133Zadanie 16.
133Zadanie 18.
134Zadanie 1.
135Zadanie 4.
136Zadanie 5.
136Zadanie 9.
137Zadanie 12.
138Ćwiczenie B.
140Zadanie 1.
141Zadanie 3.
141Zadanie 4.
141Zadanie 5.
141Zadanie 6.
142Zadanie 7.
142Zadanie 8.
142