Korzystając z informacji z ramki oraz podanego rysunku, udowodnij, że prawdziwy dystans między kolumnami RP i TS, a TS i WU jest inny.
Sprawdź, czy trapezy RPST oraz TSUW są podobne.
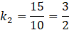
Skala podobieństwa
Skala podobieństwa
Wynika z tego, że trapezy RPST oraz TSUW nie są podobne, a więc w rzeczywistości między poszczególnymi kolumnami nie ma równych odległości.
Oblicz skalę podobieństwa pomiędzy trapezami RPST oraz TSUW i sprawdź, czy jest ona odpowiednia do każdego z boków. Skala powinna być taka sama, jeśli odległości w rzeczywistości są takie same.
Zadanie 1.
116Zadanie 2.
116Zadanie 3.
117Zadanie 4.
117Zadanie 5.
117Zadanie 9.
118Zadanie 10.
118Zadanie 11.
119Zadanie 12.
119Ćwiczenie B.
121Zadanie 1.
122Zadanie 2.
122Zadanie 3.
122Zadanie 4.
123Zadanie 5.
123Zadanie 6.
123Zadanie 7.
123Zadanie 9.
123Zadanie 11.
124Zadanie 12.
125Zadanie 20.
127Zadanie 21.
127Ćwiczenie A.
128Ćwiczenie B.
129Zadanie 1.
130Zadanie 2.
131Zadanie 3.
131Zadanie 4.
131Zadanie 5.
131Zadanie 6.
132Zadanie 10.
132Zadanie 13.
132Zadanie 14.
133Zadanie 16.
133Zadanie 18.
134Zadanie 1.
135Zadanie 4.
136Zadanie 5.
136Zadanie 9.
137Zadanie 12.
138Ćwiczenie B.
140Zadanie 1.
141Zadanie 3.
141Zadanie 4.
141Zadanie 5.
141Zadanie 6.
142Zadanie 7.
142Zadanie 8.
142