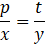
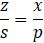
Wiedząc o podobieństwie poniższych figur, określ niewiadome elementy proporcji:
Proporcja
Brakujący wyraz to p.
Proporcja
Brakujący wyraz to x.
Proporcja
Brakujące wyrazy to x i w.
Proporcja
Brakujące wyrazy to r i t.
Zwróć uwagę na położenie poszczególnych kątów i boków w obydwu figurach. Pierwszy pytajnik dotyczy boku pomiędzy kątami α oraz β, drugi pytajnik dotyczy boku pomiędzy kątami α oraz β, trzeci – pomiędzy kątami α oraz β, czwarty – pomiędzy kątami β oraz nieoznaczonym, piąty – kątami β oraz nieoznaczonym, szósty – kątami α oraz nieoznaczonym.
Zadanie 1.
116Zadanie 2.
116Zadanie 3.
117Zadanie 4.
117Zadanie 5.
117Zadanie 9.
118Zadanie 10.
118Zadanie 11.
119Zadanie 12.
119Ćwiczenie B.
121Zadanie 1.
122Zadanie 2.
122Zadanie 3.
122Zadanie 4.
123Zadanie 5.
123Zadanie 6.
123Zadanie 7.
123Zadanie 9.
123Zadanie 11.
124Zadanie 12.
125Zadanie 20.
127Zadanie 21.
127Ćwiczenie A.
128Ćwiczenie B.
129Zadanie 1.
130Zadanie 2.
131Zadanie 3.
131Zadanie 4.
131Zadanie 5.
131Zadanie 6.
132Zadanie 10.
132Zadanie 13.
132Zadanie 14.
133Zadanie 16.
133Zadanie 18.
134Zadanie 1.
135Zadanie 4.
136Zadanie 5.
136Zadanie 9.
137Zadanie 12.
138Ćwiczenie B.
140Zadanie 1.
141Zadanie 3.
141Zadanie 4.
141Zadanie 5.
141Zadanie 6.
142Zadanie 7.
142Zadanie 8.
142