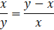
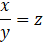
Wiedząc, że prostokąt, powstały z wycięcia kwadratu, jest podobny do większego prostokąta, określ stosunek długości boków figury przed modyfikacją.
x – długość krótszego boku prostokąta.
y – długość dłuższego boku prostokąta.
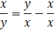
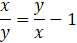
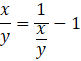
Oblicz skalę podobieństwa:
Za
Przenieś na jedną stronę i rozwiąż równanie kwadratowe:
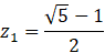
Poniższe rozwiązanie odrzuć, ponieważ jest mniejsze od 0:
Więc stosunek boków wynosi
Oblicz skale podobieństwa tych prostokątów na dwa sposoby i utwórz z nich równanie. Zauważ, że możesz je przekształcić tak, aby uzyskać stosunek
Zadanie 1.
116Zadanie 2.
116Zadanie 3.
117Zadanie 4.
117Zadanie 5.
117Zadanie 9.
118Zadanie 10.
118Zadanie 11.
119Zadanie 12.
119Ćwiczenie B.
121Zadanie 1.
122Zadanie 2.
122Zadanie 3.
122Zadanie 4.
123Zadanie 5.
123Zadanie 6.
123Zadanie 7.
123Zadanie 9.
123Zadanie 11.
124Zadanie 12.
125Zadanie 20.
127Zadanie 21.
127Ćwiczenie A.
128Ćwiczenie B.
129Zadanie 1.
130Zadanie 2.
131Zadanie 3.
131Zadanie 4.
131Zadanie 5.
131Zadanie 6.
132Zadanie 10.
132Zadanie 13.
132Zadanie 14.
133Zadanie 16.
133Zadanie 18.
134Zadanie 1.
135Zadanie 4.
136Zadanie 5.
136Zadanie 9.
137Zadanie 12.
138Ćwiczenie B.
140Zadanie 1.
141Zadanie 3.
141Zadanie 4.
141Zadanie 5.
141Zadanie 6.
142Zadanie 7.
142Zadanie 8.
142