Wiedząc, że podstawa trójkąta równoramiennego ma długość 10, a ramiona – 13 oraz wpisano w niego okrąg, oblicz promień okręgu.
Rysunek przedstawia sytuację opisaną w treści zadania:
Trójkąty FBC oraz CHG są podobne z cechy KK.
Oblicz długość odcinka CF wykorzystując twierdzenie Pitagorasa:
Odpowiedź |CF| = -12 odrzuć, ponieważ długość boku nie może być ujemna.
Wyznacz długość odcinka CH:
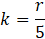
Oblicz skale podobieństwa k:
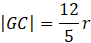
Oblicz długość GC:
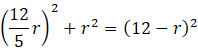
Użyj twierdzenia Pitagorasa na trójkącie CHG:
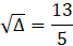
Rozwiąż to równanie kwadratowe, obliczając deltę:
Odpowiedź: Długość promienia okręgu to
Zauważ, że trójkąty FBC oraz CHG mają dwa takie same kąty (kąt prosty oraz |∢FCB|), stąd są podobne z cechy KK. Wykorzystaj twierdzenie Pitagorasa do obliczenia długości CF, a potem wyznacz długość CH. Oblicz skalę podobieństwa (k), a następnie wylicz długość GC. Wykorzystaj twierdzenie Pitagorasa na trójkącie CHG, aby obliczyć długość promienia.
Zadanie 1.
116Zadanie 2.
116Zadanie 3.
117Zadanie 4.
117Zadanie 5.
117Zadanie 9.
118Zadanie 10.
118Zadanie 11.
119Zadanie 12.
119Ćwiczenie B.
121Zadanie 1.
122Zadanie 2.
122Zadanie 3.
122Zadanie 4.
123Zadanie 5.
123Zadanie 6.
123Zadanie 7.
123Zadanie 9.
123Zadanie 11.
124Zadanie 12.
125Zadanie 20.
127Zadanie 21.
127Ćwiczenie A.
128Ćwiczenie B.
129Zadanie 1.
130Zadanie 2.
131Zadanie 3.
131Zadanie 4.
131Zadanie 5.
131Zadanie 6.
132Zadanie 10.
132Zadanie 13.
132Zadanie 14.
133Zadanie 16.
133Zadanie 18.
134Zadanie 1.
135Zadanie 4.
136Zadanie 5.
136Zadanie 9.
137Zadanie 12.
138Ćwiczenie B.
140Zadanie 1.
141Zadanie 3.
141Zadanie 4.
141Zadanie 5.
141Zadanie 6.
142Zadanie 7.
142Zadanie 8.
142